| 일 | 월 | 화 | 수 | 목 | 금 | 토 |
|---|---|---|---|---|---|---|
| 1 | ||||||
| 2 | 3 | 4 | 5 | 6 | 7 | 8 |
| 9 | 10 | 11 | 12 | 13 | 14 | 15 |
| 16 | 17 | 18 | 19 | 20 | 21 | 22 |
| 23 | 24 | 25 | 26 | 27 | 28 | 29 |
| 30 |
- 수열의 극한
- 적분
- 도형과 무한등비급수
- 이차곡선
- 행렬과 그래프
- 적분과 통계
- 수학2
- 로그함수의 그래프
- 수악중독
- 심화미적
- 함수의 연속
- 기하와 벡터
- 여러 가지 수열
- 함수의 극한
- 수학질문답변
- 함수의 그래프와 미분
- 중복조합
- 수열
- 정적분
- 미분
- 접선의 방정식
- 수학질문
- 수만휘 교과서
- 확률
- 이정근
- 경우의 수
- 수능저격
- 미적분과 통계기본
- 행렬
- 수학1
- Today
- Total
목록(8차) 수학1 질문과 답변/수열의 극한 (188)
수악중독
첫째항이 \(12\) 이고 공비가 \(\dfrac{1}{3}\) 인 등비수열 \(\{a_n\}\) 에 대하여 수열 \(\{b_n\}\) 을 다음 규칙에 따라 정한다. (가) \(b_1=1\)(나) \(n \geq 1\) 일 때 \(b_{n+1}\) 은 점 \({\rm P}_n \left (-b_n , \; b_n^2 \right )\) 을 지나고 기울기가 \(a_n\) 인 직선과 곡선 \(y=x^2\) 의 교점 중에서 \({\rm P}_n \) 이 아닌 점의 \(x\) 좌표이다. \(\lim \limits_{n \to \infty} b_n\) 의 값을 구하시오. 정답 \(19\)
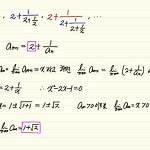
무한수열 \[2+\dfrac{1}{2},\;\; 2+\dfrac{1}{2+\dfrac{1}{2}},\;\; 2+\dfrac{1}{2+\dfrac{1}{2+\dfrac{1}{2}}}, \;\; \cdots\]은 수렴하는 것으로 알려져 있다. 다음은 그 극한값을 구하는 과정이다. 주어진 수열을 \(\{a_n\}\) 이라 하면 \(a_1=2+\dfrac{1}{2}\) 이고 이 수열의 극한값을 \(x\) 라고 하면 \(\lim \limits_{n \to \infty} a_n = x, \;\; \lim \limits_{n \to \infty} a_{n+1}=x\) 이므로 \(x=(가)+\dfrac{1}{x}\) 이다. 따라서 구하는 극값값은 \((나)\) 이다. 위의 과정에서 (가), (나)에 알맞은 것은? ① ..
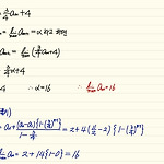
다음과 같이 정의된 수열 \(\{a_n\}\) 이 있다. \[\left\{ {\begin{array}{ll} {{a_1} = 2}\\ {{a_{n + 1}} = \dfrac{3}{4}{a_n} + 4\;\;\left( {n = 1,\;2,\;3,\; \cdots } \right)} \end{array}\;\;} \right.\] \(\lim \limits_{n \to \infty} a_n\) 의 값을 구하시오. 정답 \(16\)
자연수 \(n\) 에 대하여 \[S_n=\sum \limits_{k=1}^{n}k(k+1),\;\; T_n=\sum \limits_{k=1}^{n} (n+k)(n+k+1)\] 일 때, \(\lim \limits_{n \to \infty} \dfrac{T_n}{S_n}\) 의 값을 구하시오. 정답 \(7\)
\(\lim \limits_{n \to \infty} \dfrac{n^2+3n}{\left \{ \left ( 1+\dfrac{1}{2} \right )\left ( 1+\dfrac{1}{3} \right )\left ( 1+\dfrac{1}{4} \right )\cdots\left ( 1+\dfrac{1}{n} \right ) \right \}^2}\) 의 값은? ① \(\dfrac{1}{4}\) ② \(\dfrac{1}{2}\) ③ \(1\) ④ \(2\) ⑤ \(4\) 정답 ⑤
좌표평면 위에서 직선 \(y=\sqrt{3}x\) 가 있다. 자연수 \(n\) 에 대하여 \(x\) 축 위의 점 중에서 \(x\) 좌표가 \(n\) 인 점을 \({\rm P}_n\), 직선 \(y=\sqrt{3}x\) 위의 점 중에서 \(x\) 좌표가 \(\dfrac{1}{n}\) 인 점을 \({\rm Q}_n\) 이라 하자. 삼각형 \({\rm OP}_n{\rm Q}_n\) 의 내접원의 중심에서 \(x\) 축까지의 거리를 \(a_n\), 삼각형 \({\rm OP}_n{\rm Q}_n\) 의 외접원의 중심에서 \(x\) 축까지의 거리를 \(b_n\) 이라 할 때, \(\lim \limits_{n \to \infty} a_n b_n = L\) 이다. \(100L\) 의 값을 구하시오. (단 \(\rm O\..
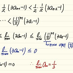
\(a_1=1\) 인 수열 \(\{a_n\}\) 은 모든 자연수 \(n\) 에 대하여 다음 조건을 만족시킨다. (가) \(3a_n -1 >0\) (나) \(3a_{n+1} -1 < \dfrac{1}{2} (3a_n -1)\) \(\lim \limits_{n \to \infty} a_n\) 의 값은? ① \(\dfrac{1}{4}\) ② \(\dfrac{1}{3}\) ③ \(\dfrac{1}{2}\) ④ \(1\) ⑤ \(\dfrac{3}{2}\) 정답 ②
그림과 같이 한 변의 길이가 \(1\) 인 정팔각형 \(\rm A_1 B_1 C_1 D_1 E_1 F_1 G_1 H_1\) 의 내부에 정사각형 \(\rm A_1 C_1 E_1 G_1\) 과 \(\rm B_1 D_1 F_1 H_1\) 을 그리고 두 정사각형 \(\rm A_1 C_1 E_1 G_1\) 과 \(\rm B_1 D_1 F_1 H_1\) 의 변으로 둘러싸인 삼각형에 색칠하여 얻은 \(8\) 개의 삼각형을 \( T_1\) 이라 하고, 그 \(8\) 개의 삼각형의 넓이를 \(S_1\) 이라 하자. 또 두 정사각형 \(\rm A_1 C_1 E_1 G_1\) 과 \(\rm B_1 D_1 F_1 H_1\) 의 변의 교점을 \(\rm A_2 , \; B_2 ,\; C_2 , \; D_2 , \; E_2 ,\;..
그림과 같이 모선 \(\rm OA_1\) 의 길이가 \(8\), 밑면의 지름 \(\rm A_0 A_1\) 의 길이가 \(4\) 인 원뿔이 있다. 점 \(\rm A_1\) 을 출발하여 원뿔을 한 바퀴 돌아 다시 점 \(\rm A_1\) 으로 돌아오는 최단 경로의 길이를 \(l_1\) 이라 하고, 이 최단 경로와 모선 \(\rm OA_0\) 가 만나는 점을 \(\rm A_2\) 라 하자. 또, 점 \(\rm A_2\) 를 출발하여 원뿔을 한 바퀴 돌아 다시 점 \(\rm A_2\) 로 돌아오는 최단 경로의 길이를 \(l_2\) 라 하고, 이 최단 경로와 모선 \(\rm OA_1\) 이 만나는 점을 \(\rm A_3\) 이라 하자. 이와 같은 과정을 계속하여 \(n\) 번째 얻은 최단 경로의 길이를 \(l_n..
좌표평면 위에 점 \(\rm P_1 (2,\;0)\) 이 있다. 삼각형 \(\rm OP_1 Q_1\) 이 정삼각형이 되도록 제\(1\)사분면 위의 점 \(\rm Q_1\) 을 잡는다. 선분 \(\rm OQ_1\) 의 중점을 \(\rm P_2\) 라 하고, 삼각형 \(\rm OP_2 Q_2\) 가 정삼각형이 되도록 정삼각형 \(\rm OP_1 Q_1\) 의 외부에 점 \(\rm Q_2\) 를 잡는다. 선분 \(\rm OQ_2\) 의 중점을 \(\rm P_3\) 이라 하고, 삼각형 \(\rm OP_3 Q_3\) 이 정삼각형이 되도록 정삼각형 \(\rm OP_2 Q_2\) 의 외부에 점 \(\rm Q_3\) 를 잡는다. 이와 같은 과정을 계속하여 \(n\) 번째 얻은 점 \(\rm Q_{\it n}\) 의 좌..