| 일 | 월 | 화 | 수 | 목 | 금 | 토 |
|---|---|---|---|---|---|---|
| 1 | 2 | 3 | 4 | 5 | 6 | 7 |
| 8 | 9 | 10 | 11 | 12 | 13 | 14 |
| 15 | 16 | 17 | 18 | 19 | 20 | 21 |
| 22 | 23 | 24 | 25 | 26 | 27 | 28 |
- 수능저격
- 수학질문답변
- 로그함수의 그래프
- 적분
- 미분
- 수학2
- 행렬과 그래프
- 수악중독
- 이정근
- 함수의 극한
- 도형과 무한등비급수
- 경우의 수
- 기하와 벡터
- 수학1
- 접선의 방정식
- 심화미적
- 수학질문
- 이차곡선
- 수열
- 확률
- 중복조합
- 여러 가지 수열
- 수만휘 교과서
- 행렬
- 함수의 연속
- 수열의 극한
- 정적분
- 함수의 그래프와 미분
- 적분과 통계
- 미적분과 통계기본
- Today
- Total
목록(8차) 수학1 질문과 답변/수열의 극한 (188)
수악중독
그림과 같이 한 변의 길이가 \(1\) 인 정사각형 \(\rm A_1 B_1 C_1 D_1\) 내부에 합동인 \(4\) 개의 직각삼각형의 넓이의 합과 정사각형 \(\rm A_2 B_2 C_2 D_2\) 의 넓이가 같도록 만들고, 정사각형 \(\rm A_2 B_2 C_2 D_2\) 내부에 같은 방법으로 정사각형 \(\rm A_3 B_3 C_3 D_3\) 를 만든다. 이와 같은 과정을 한없이 반복하여 만들어진 정사각형 \({\rm A}_n {\rm B}_n {\rm C}_n {\rm D}_n\) 의 넓이를 \(S_n\) 이라 할 때, 무한급수 \(\sum \limits_{n=1}^{\infty} S_n\) 의 값은? ① \(2\) ② \(\dfrac{9}{4}\) ③ \(\dfrac{5}{2}\) ④ \(\..
자연수 \(n\) 에 대하여 점 \({\rm P}_n\) 이 \(x\) 축 위의 점일 때, 점 \({\rm P}_{n+1}\) 을 다음 규칙에 따라 정한다. (가) 점 \({\rm P}_1\) 의 좌표는 \(a_1 ,\; 0) \; (0
자연수 \(n\) 에 대하여 곡선 \(y=x^2\) 과 직선 \(y=-x+n\) 이 만나서 생기는 두 교점 사이의 거리를 \(l_n\) 이라 할 때, \(\lim \limits_{n \to 0} \dfrac{l_n ^2}{n}\) 의 값은? ① \(5\) ② \(6\) ③ \(7\) ④ \(8\) ⑤ \(9\) 정답 ④
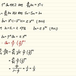
수열 \(\{a_n\}\) 이 \[7a_1+7^2a_2+\cdots+7^na_n=3^n-1\] 을 만족시킬 때, \(\sum \limits_{n=1}^{\infty} \dfrac{a_n}{3^{n-1}}\) 의 값은? ① \(\dfrac{1}{3}\) ② \(\dfrac{4}{9}\) ③ \(\dfrac{5}{9}\) ④ \(\dfrac{2}{3}\) ⑤ \(\dfrac{7}{9}\) 정답 ①
그림과 같이 좌표평면에서 자연수 \(n\) 에 대하여 직선 \(y=x+\dfrac{1}{n}\) 과 원 \(x^2+y^2=1\) 이 만나는 두 점을 각각 \({\rm P}_n,\; {\rm Q}_n\) 이라 하자. 삼각형 \({\rm OP}_n{\rm Q}_n\) 의 넓이를 \(A_n\) 이라 할 때, \(\lim \limits_{n \to \infty} n \cdot A_n\) 의 값은? (단, \(\rm O\) 는 원점이다.) ① \(\dfrac{\sqrt{2}}{2}\) ② \(\dfrac{\sqrt{3}}{2}\) ③ \(1\) ④ \(\sqrt{2}\) ⑤ \(\sqrt{3}\) 정답 ①
닫힌 구간 \([-2, \;5]\) 에서 정의된 함수 \(y=f(x)\) 의 그래프가 그림과 같다. \(\lim \limits_{n \to \infty} \dfrac{|nf(a)-1|-nf(a)}{2n+3}=1\) 을 만족시키는 상수 \(a\) 의 개수는? ① \(1\) ② \(2\) ③ \(3\) ④ \(4\) ⑤ \(5\) 정답 ②
자연수 \(n\) 에 대하여 \(1\) 부터 \(6n\) 까지의 자연수의 총합을 \(A_n\), \(1\) 부터 \(6n\) 까지의 자연수 중에서 \(3\) 의 배수를 제외한 자연수의 총합을 \(B_n\) 이라 할 때, \(\lim \limits_{n \to \infty} \dfrac{A_n}{B_n}=\dfrac{q}{p}\) 이다. 이때, 서로소인 자연수 \(p,\;q\) 의 합 \(p+q\) 의 값을 구하시오. 정답 \(5\)
수열 \(\{a_n\}\) 을 다음과 같이 정의한다. (가) \(a_1=2\)(나) \(a+_{n+1}= \left ( a_n ^2 +a_n 을 \; 5로 \; 나눈 \; 나머지 \right )\) \((n=1,\;2,\;3,\cdots)\) \(\sum \limits_{n=1}^{\infty} \dfrac{a_n}{3^n}= \dfrac{q}{p}\) 일 때, \(p+q\) 의 값을 구하시오.(단, \(p,\;q\) 는 서로소인 자연수이다.) 정답 \(15\)
두 무한수열 \(\{a_n\},\;\{b_n\}\) 에 대하여 옳은 것만을 에서 있는 대로 고른 것은? ㄱ. 수열 \(\{a_n\}\) 에서 \(a_n=\dfrac{1}{\sqrt{n+1}+\sqrt{n}}\) 일 때, \(\sum \limits_{n=1}^{\infty} a_n\) 은 발산한다. ㄴ. 두 수열 \(\{a_n\},\;\{b_n\}\) 이 각각 수렴하면 \(\sum \limits_{n=1}^{\infty} a_nb_n=\sum \limits_{n=1}^{\infty} a_n \sum \limits_{n=1}^{\infty} b_n\) 이다. ㄷ. 수열 \(\{a_n\}\) 이 \(a_1=1,\; a_{n+1}=\dfrac{1}{n+1}a_n\;(n=1, \;2,\;3,\;\cdots )\)..
무한등비수열 \(\{a_n\}\) 에 대하여 옳은 것만을 에서 모두 고른 것은? ㄱ. 무한등비급수\(\sum \limits_{n=1}^{\infty} a_n\) 이 수렴하면 \(\sum \limits_{n=1}^{\infty} a_{2n}\) 도 수렴한다.ㄴ. 무한등비급수 \(\sum \limits_{n=1}^{\infty} a_n\) 이 발산하면 \(\sum \limits_{n=1}^{\infty}a_{2n}\) 도 발산한다.ㄷ. 무한등비급수 \(\sum \limits_{n=1}^{\infty} a_n\) 이 수렴하면 \(\sum \limits_{n=1}^{\infty} \left ( a_n +\dfrac{1}{2} \right ) \) 도 수렴한다. ① ㄱ ② ㄴ ③ ㄱ, ㄴ ④ ㄱ, ㄷ ⑤ ㄴ, ㄷ..