| 일 | 월 | 화 | 수 | 목 | 금 | 토 |
|---|---|---|---|---|---|---|
| 1 | ||||||
| 2 | 3 | 4 | 5 | 6 | 7 | 8 |
| 9 | 10 | 11 | 12 | 13 | 14 | 15 |
| 16 | 17 | 18 | 19 | 20 | 21 | 22 |
| 23 | 24 | 25 | 26 | 27 | 28 | 29 |
| 30 |
- 수학2
- 이정근
- 확률
- 적분
- 수악중독
- 기하와 벡터
- 수학1
- 수열의 극한
- 수열
- 미적분과 통계기본
- 미분
- 함수의 그래프와 미분
- 수학질문
- 수능저격
- 로그함수의 그래프
- 심화미적
- 수만휘 교과서
- 접선의 방정식
- 경우의 수
- 도형과 무한등비급수
- 행렬
- 이차곡선
- 적분과 통계
- 수학질문답변
- 정적분
- 여러 가지 수열
- 함수의 연속
- 중복조합
- 행렬과 그래프
- 함수의 극한
- Today
- Total
목록수학질문답변 (500)
수악중독
모든 실수 \(x\) 에 대하여 \(f(x)\) 가 \(f(x)= \sum \limits _{k=1}^{\infty} {\Large \frac{x^m}{\left ( 1+x^2 +x^4 \right ) ^{k-1}}} \) 으로 정의될 때, \(f(x)\) 가 \(x=0\) 에서 연속이 되기 위한 자연수 \(m\) 의 최솟값은? ① \(2\) ② \(3\) ③ \(4\) ④ \(5\) ⑤ \(6\) 정답 ②
실수 전체에서 연속인 함수 \(f(x)\) 에 대하여 방정식 \(f(x)=f(x+1)\) 이 중간값의 정리에 의해 \(-1
함수 \(f(x)\) 에 대하여 \(\lim \limits _{x \to 0} {\Large \frac {f(x)-1}{x}} =0\) 일 때, 에서 옳은 것을 모두 고른 것은? ㄱ. \(f(0)=1\) ㄴ. \(\lim \limits _{x \to 0} f(x) =0\) ㄷ. \( \lim \limits _{h \to 0} \{ f(0+h)-f(0-h)\} =0\) ① ㄱ ② ㄷ ③ ㄱ, ㄴ ④ ㄴ, ㄷ ⑤ ㄱ, ㄴ, ㄷ 정답 ②
\(\left | x \right | \le n\) 일 때, \(x\) 에 대한 방정식 \(\left | x \right | = \dfrac{1}{x-[x]}\) 의 근의 개수를 나타낸 것으로 옳은 것은? (단, \(n\) 은 \(n\ge 2\) 인 정수이고 \([x]\) 는 \(x\) 를 넘지 않는 최대의 정수이다.)① \(2n\) ② \(2n-1\) ③ \(2n-2\) ④ \(2n-3\) ⑤ \(2n-4\) 정답 ④
일차함수 \(y=f(x)\) 와 이차함수 \(y=g(x)\) 의 그래프가 오른쪽 그림과 같다. 방정식 \(\dfrac{f(x)}{g(x)}+1=\dfrac{2g(x)}{f(x)}\) 의 실근의 개수는? ① \(1\) ② \(2\) ③ \(3\)④ \(4\) ⑤ \(5\) 정답 ②
오른쪽 그림과 같이 점 \({\rm P} (x,\;y)\) 가 원 \(x^2 +y^2 =4\) 의 \(y \ge 0 \) 인 부분을 움직일 때, 세 점 \({\rm A}(-2,\;0),\; {\rm P}(x,\;y),\;{\rm B}(2,\;0)\) 를 꼭짓점으로 하는 삼각형의 넓이를 \(S(x)\) 라 하자. \({\displaystyle \int}_{- 2}^2 {S(x)} \;dx = k\) 라 할 때, \(\dfrac {k}{\pi}\) 의 값을 구하시오. 정답 4
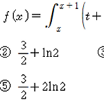
\(x>0\) 일 때, 함수 \(f(x)=\displaystyle \int _{x}^{x+1} \left (t+{\dfrac{2}{t}} \right ) dt\) 의 최솟값은? ① \({\dfrac{1}{2}} + \ln 2\) ② \({\dfrac{3}{2}} + \ln 2\) ③ \({\dfrac{5}{2}} + \ln 2\) ④ \({\dfrac{1}{2}} + 2\ln 2\) ⑤ \({\dfrac{3}{2}} +2 \ln 2\) 정답 ⑤
다음은 곡선 \(y=e^x\) 위의 점 \({\rm P}(x,\;y)\) 에서의 접선이 \(x\) 축의 양의 방향과 이루는 각의 크기를 \(f(x)\) 라 할 때, \(\displaystyle \int _{-1}^{1} f(x) dx\) 의 값을 구하는 과정이다. \(\left ( 단, \; 0