| 일 | 월 | 화 | 수 | 목 | 금 | 토 |
|---|---|---|---|---|---|---|
| 1 | ||||||
| 2 | 3 | 4 | 5 | 6 | 7 | 8 |
| 9 | 10 | 11 | 12 | 13 | 14 | 15 |
| 16 | 17 | 18 | 19 | 20 | 21 | 22 |
| 23 | 24 | 25 | 26 | 27 | 28 | 29 |
| 30 |
- 수능저격
- 정적분
- 접선의 방정식
- 중복조합
- 수학2
- 이정근
- 수학질문
- 이차곡선
- 심화미적
- 적분과 통계
- 수악중독
- 적분
- 행렬
- 미분
- 수학질문답변
- 수학1
- 함수의 극한
- 함수의 그래프와 미분
- 경우의 수
- 수만휘 교과서
- 행렬과 그래프
- 확률
- 미적분과 통계기본
- 기하와 벡터
- 도형과 무한등비급수
- 함수의 연속
- 수열의 극한
- 수열
- 여러 가지 수열
- 로그함수의 그래프
- Today
- Total
목록(8차) 수학1 질문과 답변/지수와 지수함수 (89)
수악중독
좌표평면에서 두 점 \((2, \;0),\;\;(0, \;4)\) 를 지나는 직선 위의 점 \({\rm P} (a, \;b)\) 가 등식 \(4^a -2^b=6\) 을 만족할 때, \(4^a +2^b\) 의 값은? ① \(8\) ② \(9\) ③ \(10\) ④ \(11\) ⑤ \(12\) 정답 ③
\(abc=24\) 인 세 실수 \(a,\;b,\;c\) 가 있다. \(2^a=3^2,\; 3^b=5^3\) 일 때, \(5^c\) 의 값을 구하시오. 정답 \(16\)
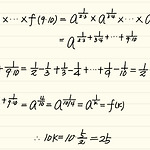
\(f(n)=a^{\frac{1}{n}}\;\;(단, \; a>0,\; a \ne 1)\) 일 때, \[f(2 \cdot 3) \times f(3 \cdot 4) \times \cdots \times f(9 \cdot 10)=f(k)\] 를 만족하는 상수 \(k\) 에 대하여 \(10k\) 의 값을 구하시오. 정답 \(25\)
\(3^{2x}-3^{x+1}=-1\) 일 때, \(\dfrac{3^{4x}+3^{-4x}+1}{3^{2x}+3^{-2x}+1}\) 의 값은? ① \(3\) ② \(4\) ③ \(5\) ④ \(6\) ⑤ \(7\) 정답 ④
과거 \(n\) 년 동안 매출액이 \(a\) 원에서 \(b\) 원으로 변했을 때, 연평균 성장률은 \[연평균\; 성장률 \; = \left (\dfrac{b}{a} \right ) ^{\frac{1}{n}} -1\] 로 나타내어 진다. 다음은 두 회사 \(\rm A, \; B\) 의 매출액을 나타낸 표이다. 이때, \(1998\) 년 말부터 \(2008\) 년 말까지 \(10\) 년 동안 \(\rm B\) 회사의 연평균 성장률은 \(\rm A\) 회사의 \(k\) 배이다. \(100k\) 의 값을 구하시오. \(\left ( 단, \; 2^{\frac{11}{10}}=2.14 \;로 \; 계산한다.\right )\) 정답 \(207\)
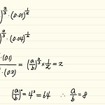
원기둥 모양의 수도관에서 단면인 원의 넓이를 \(S\), 원의 둘레의 길이를 \(L\) 이라 하고, 수도관의 기울기를 \(I\) 라 하자. 이 수도관에서 물이 가득 찬 상태로 흐를 때 물의 속력을 \(v\) 라 하면 \[ v=c \left ( \dfrac{S}{L} \right ) ^{\frac{2}{3}} \cdot I^{\frac{1}{2}}\;\;(단, \; c는 \; 상수이다.)\] 이 성립한다고 한다. 단면인 원의 반지름의 길이가 각각 \(a, \;b\) 인 원기둥 모양의 두 수도관 \(\rm A, \;B\) 에서 물이 가득 찬 상태로 흐르고 있다. 두 수도관 \(\rm A, \;B\) 의 기울기가 각각 \(0.01,\; 0.04\) 이고, 흐르는 물의 속력을 각각 \(V_{\rm a}, \; ..
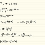
육안으로 본 별의 밝기를 겉보기 등급, 그 별이 \(10(\rm pc)\) 의 거리에 있다고 가정했을 떄의 밝기를 절대 등급이라 한다. 어떤 별이 지구로부터 \(r(\rm pc)\) 만큼 떨어져 있을 때 겉보기 등급 \(m\) 과 절대 등급 \(M\) 은 \[\left ( \dfrac{r}{10} \right )^2 = 100^{\frac{1}{5}(m-M)}\] 을 만족한다. '데네브'라는 별은 지구로부터 \(10^{2.7} (\rm pc)\) 만큼 떨어져 있고, 겉보기 등급은 \(1.3\) 이다. 이 별의 절대 등급은? (단, \(\rm pc\) 는 거리를 나타내는 단위이다.) ① \(-3.6\) ② \(-4.8\) ③ \(-6.0\) ④ \(-7.2\) ⑤ \(-8.4\) 정답 ④
좌표평면에서 \(a>1\) 인 자연수 \(a\) 에 대하여 두 곡선 \(y=4^x , \; y=a^{-x+4}\) 과 직선 \(y=1\) 로 둘러싸인 영역의 내부 또는 그 경계에 포함되고 \(x\) 좌표와 \(y\) 좌표가 모두 정수인 점의 개수가 \(20\) 이상 \(40\) 이하가 되도록 하는 \(a\) 의 개수를 구하시오. 정답 \(15\)
두 곡선 \(y=2^{x+1},\; y=8^x\) 이 직선 \(x=a\) 와 만나는 점을 각각 \(\rm A, \; B\) 라 하고, 직선 \(x=b\) 와 만나는 점을 각각 \(\rm C, \;D\) 라 하자. \(b
곡선 \(y=a^x \; (a>1)\) 과 곡선 \(y=\dfrac{1}{x}\) 의 교점을 \(\rm P\) 라 하고, 곡선 \(y=-\left ( \dfrac{1}{a} \right )^x \) 과 곡선 \(y=\dfrac{1}{x}\) 의 교점을 \(\rm Q\) 라 하자. \(\overline{\rm PQ} = \sqrt{17}\) 일 때, \(a\) 의 값은? ① \(\sqrt{2}\) ② \(2\) ③ \(2\sqrt{2}\) ④ \(4\) ⑤ \(4\sqrt{2}\) 정답 ④ (보충설명) \(y=- \left (\dfrac{1}{a} \right ) ^x\) 는 \(y=a^x\) 을 원점을 중심으로 대칭이동한 그래프이다. 또한 \(y=\dfrac{1}{x}\) 은 그 자체가 원점에 대칭인 함..