| 일 | 월 | 화 | 수 | 목 | 금 | 토 |
|---|---|---|---|---|---|---|
| 1 | 2 | 3 | ||||
| 4 | 5 | 6 | 7 | 8 | 9 | 10 |
| 11 | 12 | 13 | 14 | 15 | 16 | 17 |
| 18 | 19 | 20 | 21 | 22 | 23 | 24 |
| 25 | 26 | 27 | 28 | 29 | 30 | 31 |
- 기하와 벡터
- 수학질문답변
- 수열의 극한
- 수학1
- 로그함수의 그래프
- 여러 가지 수열
- 이차곡선
- 함수의 극한
- 수능저격
- 미분
- 수학2
- 중복조합
- 행렬과 그래프
- 수악중독
- 적분과 통계
- 함수의 연속
- 확률
- 적분
- 이정근
- 수열
- 도형과 무한등비급수
- 수만휘 교과서
- 행렬
- 심화미적
- 수학질문
- 정적분
- 접선의 방정식
- 함수의 그래프와 미분
- 경우의 수
- 미적분과 통계기본
- Today
- Total
목록미분계수의 정의 (24)
수악중독
이차함수 \(f(x)\) 가 \[\lim \limits_{x \to -1} \dfrac{\left ( x^3+1 \right ) f(x+1)}{x^2-1}=-27\]을 만족시킬 때, 함수 \[g\left( x \right) = \left\{ {\begin{array}{ll}{\frac{{f\left( x \right)}}{{x - 3}}}&{\left( {x \ne 3} \right)}\\0&{\left( {x = 3} \right)}\end{array}} \right.\] 가 실수 전체의 집합에서 연속이다. \(f(1)\) 의 값은? ① \(2\) ② \(4\) ③ \(6\) ④ \(8\) ⑤ \(10\) 정답 ④
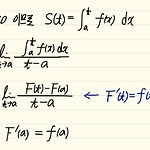
연속함수 \(y=f(x)\) 는 구간 \([a,\;t]\) 에서 \(f(x)>0\) 이다. 곡선 \(y=f(x)\) 와 \(x\) 축 및 두 직선 \(x=a,\; x=t\) 로 둘러싸인 부분의 넓이를 \(S(t)\) 라 할 때, \(\lim \limits_{t \to a} \dfrac{S(t)}{t-a}\) 의 값은? (단, \(a
곡선 \(y=6x^2+1\) 과 \(x\) 축 및 두 직선 \(x=1-h,\; x=1+h\;(h>0)\) 로 둘러싸인 부분의 넓이를 \(S(h)\) 라 할 때, \(\lim \limits_{h \to +0} \dfrac{S(h)}{h}\) 의 값을 구하시오. 정답 \(14\)
다항함수 \(f(x)\) 가 \(\lim \limits_{x \to 1} \dfrac{\displaystyle \int_{1}^{x} f(t) dt-f(x)}{x^2-1}=2\) 를 만족할 때, \(f'(1)\) 의 값은? ① \(-4\) ② \(-3\) ③ \(-2\) ④ \(-1\) ⑤ \(0\) 정답 ①
함수 \(f(x)=x^3+9x+2\) 에 대하여 \(\lim \limits_{x \to 1} \dfrac{f(x)-f(1)}{x-1}\) 의 값을 구하시오. 정답 \(12\)
함수 \(f(x)\) 에 대하여 에서 항상 옳은 것만을 모두 고른 것은? ㄱ. \(\lim \limits_{h \to 0} \dfrac{f(1+h)-f(1)}{h}=0\) 이면 \(\lim \limits_{x \to 1} f(x)=f(1)\) 이다. ㄴ. \(\lim \limits_{h \to 0} \dfrac{f(1+h)-f(1)}{h}=0\) 이면 \(\lim \limits_{h \to 0} \dfrac{f(1+h)-f(1-h)}{2h}=0\) 이다. ㄷ. \(f(x)=|x-1|\) 일 때, \(\lim \limits_{h \to 0} \dfrac{f(1+h)-f(1-h)}{2h}=0\) 이다. ① ㄱ ② ㄷ ③ ㄱ, ㄴ ④ ㄴ, ㄷ ⑤ ㄱ, ㄴ, ㄷ 정답 ⑤
함수 \(f(x)\) 가 \(f(x+2)-f(2)=x^3+6x^2+14x\) 를 만족시킬 때, \(f'(2)\) 의 값을 구하시오. 정답 \(14\)
미분가능한 함수 \(y=f(x)\) 의 그래프 위의 한 점 \(\rm P(2, \;1)\) 에서의 접선의 방정식의 \(y=3x-5\) 이다. 이때, \(\lim \limits_{n \to \infty} \dfrac{n}{2} \left \{ f \left ( 2 + \dfrac{1}{3n} \right )- f(2) \right \}\) 의 값은? ① \(1\) ② \(\dfrac{1}{2}\) ③ \(\dfrac{1}{3}\) ④ \(\dfrac{1}{4}\) ⑤ \(\dfrac{1}{5}\) 정답 ②
실수 전체에서 정의된 두 함수 \(f(x), \;g(x)\) 가 있다. 함수 \(f(x)\) 가 \(f(0)=0,\; f'(0)=1\) 을 만족할 때, 함수 \(f(x)g(x)\) 가 \(x=0\) 에서 미분가능하기 위한 필요충분조건은? ① \(g(0)=0\) ② \(\lim \limits_{x \to 0} g(x)=0\) ③ 극한값 \(\lim \limits_{x \to 0} g(x)\) 가 존재한다. ④ \(g(x)\) 가 \(x=0\) 에서 연속이다. ⑤ \(g(x)\) 가 \(x=0\) 에서 미분가능하다. 정답 ③
함수 \(f(x)\) 가 \[f\left( x \right) = \left\{ {\begin{array}{ll}{1 - x}\\ {{x^2} - 1}\\ {\frac{2}{3}\left( {{x^3} - 1} \right)} \end{array}\begin{array}{ll} {\left( {x < 0} \right)}\\ {\left( {0 \le x < 1} \right)}\\{\left( {x \ge 1} \right)} \end{array}} \right.\] 일 때, 에서 옳은 것을 모두 고른 것은? ㄱ. \(f(x)\) 는 \(x=1\) 에서 미분가능하다. ㄴ. \(|f(x)|\) 는 \(x=0\) 에서 미분가능하다. ㄷ. \(x^k f(x)\) 가 \(x=0\) 에서 미분가능하도록 하는 최소..