| 일 | 월 | 화 | 수 | 목 | 금 | 토 |
|---|---|---|---|---|---|---|
| 1 | ||||||
| 2 | 3 | 4 | 5 | 6 | 7 | 8 |
| 9 | 10 | 11 | 12 | 13 | 14 | 15 |
| 16 | 17 | 18 | 19 | 20 | 21 | 22 |
| 23 | 24 | 25 | 26 | 27 | 28 | 29 |
| 30 |
Tags
- 적분과 통계
- 적분
- 도형과 무한등비급수
- 수학1
- 중복조합
- 접선의 방정식
- 수학2
- 행렬
- 미분
- 수열의 극한
- 수열
- 수학질문
- 이차곡선
- 함수의 그래프와 미분
- 이정근
- 수학질문답변
- 미적분과 통계기본
- 여러 가지 수열
- 행렬과 그래프
- 기하와 벡터
- 경우의 수
- 정적분
- 심화미적
- 수만휘 교과서
- 함수의 극한
- 수악중독
- 확률
- 로그함수의 그래프
- 함수의 연속
- 수능저격
Archives
- Today
- Total
수악중독
미적분과 통계기본_넓이와 적분_난이도 중 본문
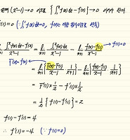
연속함수 \(y=f(x)\) 는 구간 \([a,\;t]\) 에서 \(f(x)>0\) 이다. 곡선 \(y=f(x)\) 와 \(x\) 축 및 두 직선 \(x=a,\; x=t\) 로 둘러싸인 부분의 넓이를 \(S(t)\) 라 할 때, \(\lim \limits_{t \to a} \dfrac{S(t)}{t-a}\) 의 값은? (단, \(a<t\) 이다.)
① \(f'(a)\) ② \(f'(t)\) ③ \(f(a)\) ④ \(f(t)-f(a)\) ⑤ \((t-a)f'(a)\)
Comments