| 일 | 월 | 화 | 수 | 목 | 금 | 토 |
|---|---|---|---|---|---|---|
| 1 | ||||||
| 2 | 3 | 4 | 5 | 6 | 7 | 8 |
| 9 | 10 | 11 | 12 | 13 | 14 | 15 |
| 16 | 17 | 18 | 19 | 20 | 21 | 22 |
| 23 | 24 | 25 | 26 | 27 | 28 | 29 |
| 30 |
- 수학2
- 여러 가지 수열
- 수능저격
- 정적분
- 이정근
- 수학1
- 수만휘 교과서
- 함수의 연속
- 이차곡선
- 수학질문답변
- 함수의 극한
- 확률
- 수열의 극한
- 접선의 방정식
- 적분과 통계
- 함수의 그래프와 미분
- 중복조합
- 로그함수의 그래프
- 적분
- 경우의 수
- 수악중독
- 미분
- 수열
- 도형과 무한등비급수
- 행렬과 그래프
- 기하와 벡터
- 미적분과 통계기본
- 수학질문
- 심화미적
- 행렬
- Today
- Total
목록(9차) 확률과 통계 문제풀이 (379)
수악중독
각 자리의 수가 $0$ 이 아닌 네 자리의 자연수 중 각 자리의 수의 합이 $7$ 인 모든 자연수의 개수는? ① $11$ ② $14$ ③ $17$ ④ $20$ ⑤ $23$ 정답 ④
$1$ 부터 $ n$ 까지의 자연수가 하나씩 적혀 있는 $n$ 장의 카드가 있다. 이 카드 중에서 임의로 서로 다른 $4$ 장의 카드를 선택할 때, 선택한 카드 $4$ 장에 적힌 수 중 가장 큰 수를 확률변수 $X$ 라 하자. 다음은 ${\rm E}(X)$ 를 구하는 과정이다. (단, $n \ge 4$) 자연수 $k\;(4 \le k \le n)$ 에 대하여 확률변수 $X$ 의 값이 $k$ 일 확률은 $1$ 부터 $k-1$ 까지의 자연수가 적혀 있는 카드 중에서 서로 다른 $3$ 장의 카드와 $k$ 가 적혀 있는 카드를 선택하는 경우의 수를 전체 경우의 수로 나누는 것이므로 ${\rm P}(X=k)= \dfrac{(가)}{_n {\rm C}_4}$이다. 자연수 $r\; (1 \le r \le k)$ 에 ..
서로 다른 과일 $5$ 개를 $3$ 개의 그릇 $\rm A, \; B, \; C $ 에 남김없이 담으려고 할 때, 그릇 $\rm A$ 에는 과일 $2$ 개만 담는 경우의 수는?(단, 과일을 하나도 담지 않는 그릇이 있을 수 있다.) ① $60$ ② $65$ ③ $ 70$ ④ $75$ ⑤ $80$ 정답 ⑤$\rm A$ 에 들어갈 과일 두개를 선택하는 경우의 수는 $_5{\rm C}_2=10$ 가지나머지 $3$ 개의 과일 각각을 $\rm B$ 그릇에 넣을 것이지, $\rm C$ 그릇에 넣을 것인지 결정하는 방법이 $2$가지 씩이므로나머지 $3$ 개의 과일을 $\rm B, \; C$ 그릇에 나누어 담는 경우의 수는 $2^3=8$ 가지$\therefore 10 \times 8 = 80$ 가지
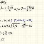
어느 고등학교에서 대중교통을 이용하여 등교하는 학생의 비율을 알아보기 위하여 이 고등학교 학생 중 $n$ 명을 임의 추출하여 조사한 결과 $50\%$ 의 학생이 대중교통을 이용하여 등교하는 것으로 나타났다. 이 결과를 이용하여 구한 이 고등학교 전체 학생 중에서 대중교통을 이용하여 등교하는 학생의 비율 $p$ 에 대한 신뢰도 $95\%$ 의 신뢰구간이 $a \le p \le b$ 이다. $b-a=0.14$ 일 때, $n$ 의 값을 구하시오. (단, $Z$ 가 표준정규분포를 따르는 확률변수일 때, ${\rm P}(|Z|\le 1.96)=0.95$ 로 계산한다.) 정답 $196$
어느 고등학교에 $8$ 명의 학생으로 구성된 수학 동아리가 있다. 이 동아리가 활동할 요일을 정하기 위해 모든 구성원이 참여하여 화요일, 수요일, 목요일, 금요일 중 하나의 요일을 선택하는 비공개 투료를 실시하려고 한다.모든 구성원이 참여하여 투표를 마쳤을 때, 나올 수 있는 투표 집계표의 가짓수는? (단, 무효표는 없고, 어떤 사람이 어떤 요일을 선택하였는지에 대해서는 알 수 없다.) ① $156$ ② $159$ ③ $162$ ④ $165$ ⑤ $168$ 정답 ④
어느 공장에서 생산되는 제품 $1$ 개의 무게는 평균이 $100 \rm kg$, 표준편차가 $2 \rm kg$ 인 정규분포를 따른다고 한다. 이 공장에서 생산된 제품 중에서 임의로 추출한 제품 $n$ 개의 무게의 표본평균이 $99.4 \rm kg$ 이상일 확률이 $0.9332$ 일 때, 자연수 $n$ 의 값을 오른쪽 표준정규분포표를 이용하여 구하시오. 정답 $25$
어느 고등학교 체육 대회에서 이어달리기 학급대표로 세 학생 $\rm A, \; B, \;C$ 를 포함한 $5$ 명의 학생이 선발되었다. 이 $5$ 명의 학생들이 달리는 순서를 정할 때, 두 학생 $\rm A, \;B$ 가 학생 $\rm C$ 보다 먼저 달리는 순서로 정해질 확률은 $p$ 이다. $90p$ 의 값을 구하시오. 정답 $30$
어느 식당의 한 달간 전체 예약고객 중 실제로 식당에 나타나지 않은 사람의 비율을 알아보기 위하여 예약고객 $100$ 명을 임의로 추출하여 조사한 결과 $10$ 명이 식당에 나타나지 않았다. 이 결과를 이용하여 구한 이 식당의 한 달간 전체 예약고객 중 식당에 나타나지 않은 사람의 비율에 대한 신뢰도 $95%$ 의 신뢰구간이 $[a, \; b]$ 일 때, $b-a$ 의 값은? (단, $Z$ 가 표준정규분포를 따르는 확률변수일 때, ${\rm P}(|Z| \le 1.96)=0.95$ 로 계산한다.) ① $0.0588$ ② $0.1158$ ③ $0.1176$ ④ $0.1256$ ⑤ $0.1587$ 정답 ③
다음은 다항식 $(2+3x)^{20}$ 을 전개한 식에서 계수가 가장 큰 항을 구하는 과정이다. 이항정리를 이용하면 $(2+3x)^{20} = \sum \limits_{r=0}^{20} \;_{20}{\rm C}_r \times 2^{20-r} \times (3x)^r$이므로 $x^r$ 의 계수를 $a_r\; (r=0, \;1, \;2, \; \cdots, \; 20)$ 라 하면$a_r= \;_{20} {\rm C} _r \times 2 ^{20-r} \times 3^r$이다.$\dfrac{a_{r+1}}{a_r}=(가)\; (r=0, \;1, \;2, \; \cdots, \; 19)$ 이므로 $\vdots$$r$ 의 값이 $(나)$ 일 때, $a_r$ 의 값이 최대이다. 위의 과정에서 (가)에 알맞은 ..