관리 메뉴


수악중독

역함수를 가질 조건&합성함수_난이도 상 (2026년 3월 고2 21번) 본문

(新 교육과정) 공통수학 - 문제풀이/함수와 그래프

역함수를 가질 조건&합성함수_난이도 상 (2026년 3월 고2 21번)

수악중독 2026. 3. 29. 00:41

 

 

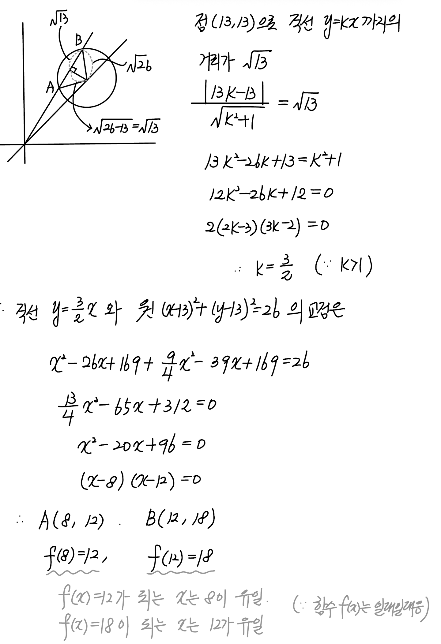
실수 전체의 집합에서 정의되고 역함수를 갖는 두 함수 $f(x), g(x)$가 모든 실수 $x$에 대하여 $$g(f(x))=x-2$$를 만족시킨다. 좌표평면에서 함수 $y=f(x)$의 그래프는 직선 $y=kx$ ($k > 1$)와 서로 다른 두 점 $\mathrm{A, B}$에서만 만나고, 두 점 $\mathrm{A, B}$는 원 $(x-13)^{2}+(y-13)^{2}=26$ 위에 있다. $\overline{\mathrm{AB}}=2\sqrt{13}$일 때, $x$에 대한 방정식 $g(x)=\dfrac{1}{k}x-2$의 모든 실근은 $\alpha, \beta$ ($\alpha < \beta$)이다. $\beta-\alpha$의 값은? (단, $k$는 상수이다.) 

① $5$          ② $\dfrac{11}{2}$          ③ $6$          ④ $\dfrac{13}{2}$          ⑤ $7$

 

더보기

정답 ③

 

Comments