| 일 | 월 | 화 | 수 | 목 | 금 | 토 |
|---|---|---|---|---|---|---|
| 1 | 2 | 3 | 4 | 5 | 6 | 7 |
| 8 | 9 | 10 | 11 | 12 | 13 | 14 |
| 15 | 16 | 17 | 18 | 19 | 20 | 21 |
| 22 | 23 | 24 | 25 | 26 | 27 | 28 |
| 29 | 30 | 31 |
Tags
- 로그함수의 그래프
- 이정근
- 수열
- 적분
- 함수의 연속
- 접선의 방정식
- 정적분
- 행렬과 그래프
- 수악중독
- 수능저격
- 수학질문답변
- 수만휘 교과서
- 경우의 수
- 심화미적
- 이차곡선
- 적분과 통계
- 중복조합
- 수열의 극한
- 행렬
- 미분
- 여러 가지 수열
- 수학1
- 기하와 벡터
- 함수의 극한
- 함수의 그래프와 미분
- 확률
- 미적분과 통계기본
- 수학질문
- 도형과 무한등비급수
- 수학2
Archives
- Today
- Total
수악중독
로그함수의 그래프_나이도 중하 (2026년 3월 고3 10번) 본문
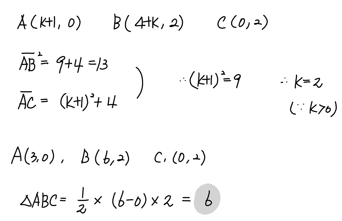
양수 $k$ 에 대하여 곡선 $y=\log_{2}(x-k)$ 가 $x$ 축과 만나는 점을 $a$ 라 하자. 직선 $y=2$ 가 곡선 $y=\log_{2}(x-k)$ 와 만나는 점을 $\mathrm{B}, y$ 축과 만나는 점을 $\mathrm{C}$ 라 하자. $\overline{\mathrm{AB}}=\overline{\mathrm{AC}}$ 일 때, 삼각형 $\mathrm{ABC}$ 의 넓이는?
① $4$ ② $6$ ③ $8$ ④ $10$ ⑤ $12$
더보기

정답 ②

Comments