관리 메뉴


수악중독

속도 거리와 미분_난이도 중 본문

수학2 - 문제풀이/미분

속도 거리와 미분_난이도 중

수악중독 2026. 3. 28. 03:35

 

 

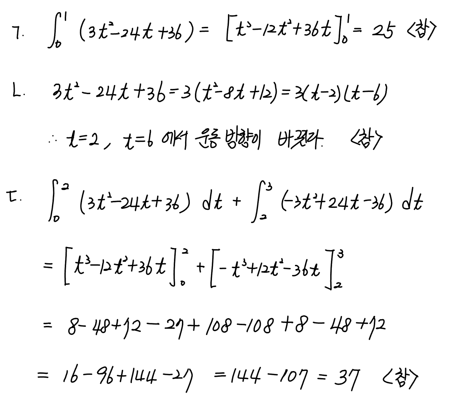
시각 $t=0$ 일 때 원점을 출발하여 수직선 위를 움직이는 점 $\mathrm{P}$ 가 있다. 시각 $t$ ($t \ge 0$)일 때 점 $\mathrm{P}$ 의 속도 $v(t)$ 가
$$v(t)=3t^{2}-24t+36$$
이다. <보기>에서 옳은 것만을 있는 대로 고른 것은? 

 

ㄱ. 시각 $t=1$ 일 때 점 $\mathrm{P}$ 의 위치는 $25$ 이다.
ㄴ. 출발한 후 점 $\mathrm{P}$ 의 운동 방향은 두 번 바뀐다.
ㄷ. 시각 $t=0$ 에서 $t=3$ 까지 점 $\mathrm{P}$ 가 움직인 거리는 $37$ 이다.


① ㄱ          ② ㄴ          ③ ㄱ, ㄴ          ④ ㄱ, ㄷ          ⑤ ㄱ, ㄴ, ㄷ

 

더보기

정답 ⑤

Comments