| 일 | 월 | 화 | 수 | 목 | 금 | 토 |
|---|---|---|---|---|---|---|
| 1 | 2 | 3 | 4 | 5 | 6 | 7 |
| 8 | 9 | 10 | 11 | 12 | 13 | 14 |
| 15 | 16 | 17 | 18 | 19 | 20 | 21 |
| 22 | 23 | 24 | 25 | 26 | 27 | 28 |
| 29 | 30 | 31 |
- 함수의 극한
- 적분과 통계
- 적분
- 중복조합
- 수만휘 교과서
- 정적분
- 수열
- 수학1
- 함수의 연속
- 함수의 그래프와 미분
- 로그함수의 그래프
- 미적분과 통계기본
- 기하와 벡터
- 접선의 방정식
- 수학2
- 수악중독
- 수열의 극한
- 이정근
- 수능저격
- 수학질문
- 여러 가지 수열
- 수학질문답변
- 심화미적
- 행렬과 그래프
- 미분
- 확률
- 행렬
- 이차곡선
- 경우의 수
- 도형과 무한등비급수
- Today
- Total
수악중독
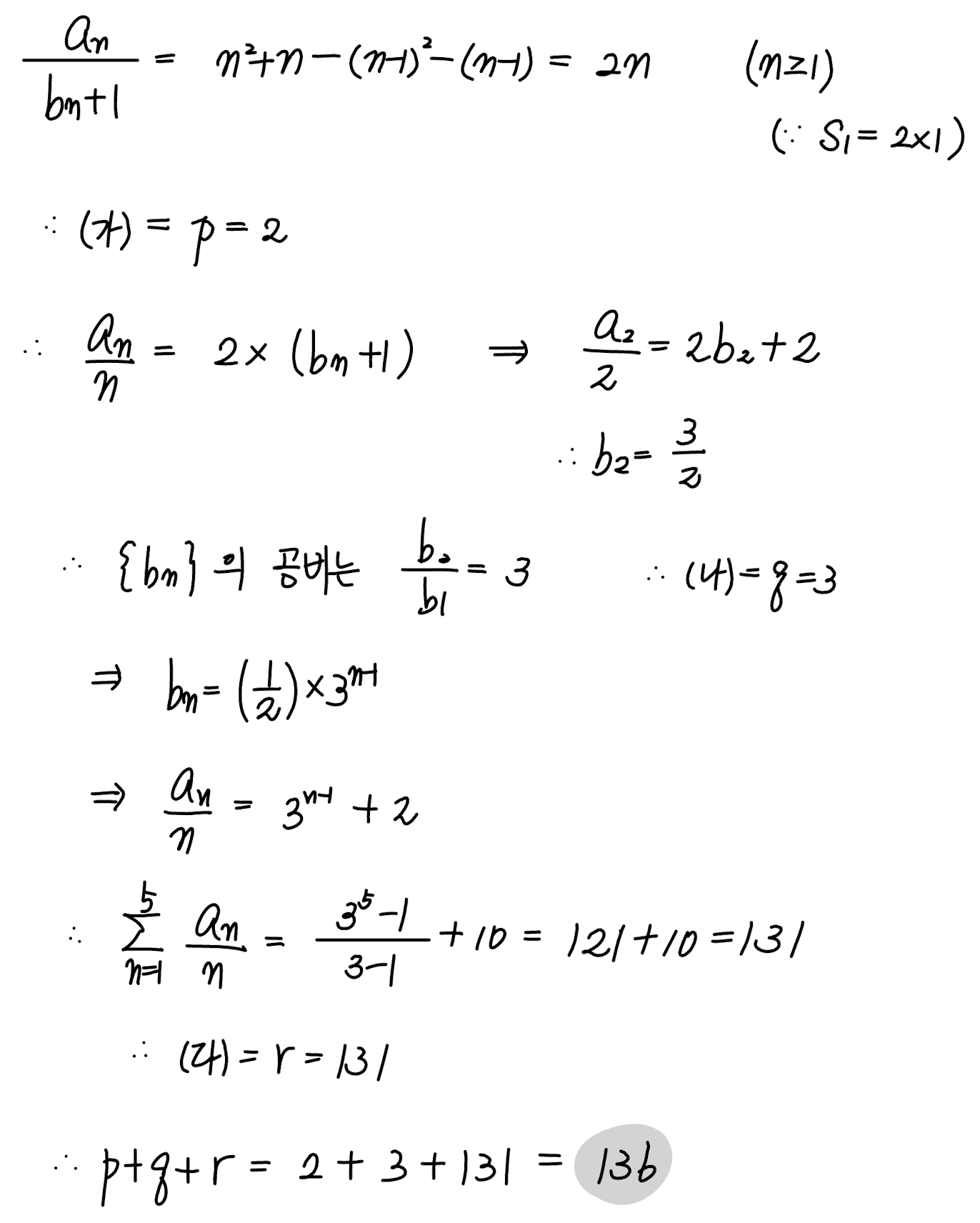
수열의 합과 일반항과의 관계_난이도 중 (2026년 3월 고3 12번) 본문
$a_{1}=3, a_{2}=10$ 인 수열 $\{a_{n}\}$ 과 모든 항이 양수인 등비수열 $\{\mathrm{b}_{n}\}$ 이 모든 자연수 $n$ 에 대하여
$$\sum_{k=1}^{n} \dfrac{a_{k}}{\mathrm{b}_{k}+1} = n^{2}+n$$
을 만족시킨다. 다음은 $\displaystyle {\sum_{n=1}^{5} \dfrac{a_{n}}{n}}$ 의 값을 구하는 과정이다.
$n=1$ 일 때 $\dfrac{a_{1}}{\mathrm{b}_{1}+1}=2$ 에서 $\mathrm{b}_{1}=\dfrac{1}{2}$ 이다.
$2$ 이상의 모든 자연수 $n$ 에 대하여
$\dfrac{a_{n}}{b_{n}+1} = \displaystyle {\sum_{k=1}^{n} \dfrac{a_{k}}{\mathrm{b}_{k}+1} - \sum_{k=1}^{n-1} \dfrac{a_{k}}{\mathrm{b}_{k}+1}}$ 이므로
$\dfrac{a_{n}}{b_{n}+1} = \text{(가)} \times n$ 이다.
$n=1$ 일 때도 이 성립하므로 모든 자연수 $n$ 에 대하여 $\dfrac{a_{n}}{n} = \text{(가)} \times (\mathrm{b}_{n}+1)$ 이다.
그러므로 등비수열 $\{b_{n}\}$ 의 공비는 (나) 이다.
따라서 에 의하여 $\displaystyle{\sum_{n=1}^{5} \dfrac{a_{n}}{n}} = \text{(다)}$ 이다.
위의 (가), (나), (다)에 알맞은 수를 각각 $p, q, r$ 이라 할 때, $p+q+r$ 의 값은?
① $136$ ② $137$ ③ $138$ ④ $139$ ⑤ $140$
정답 ①
