관리 메뉴


수악중독

삼각함수의 그래프_난이도 상 (2026년 3월 고3 14번) 본문

수학1- 문제풀이/삼각함수

삼각함수의 그래프_난이도 상 (2026년 3월 고3 14번)

수악중독 2026. 3. 27. 00:19

 

 

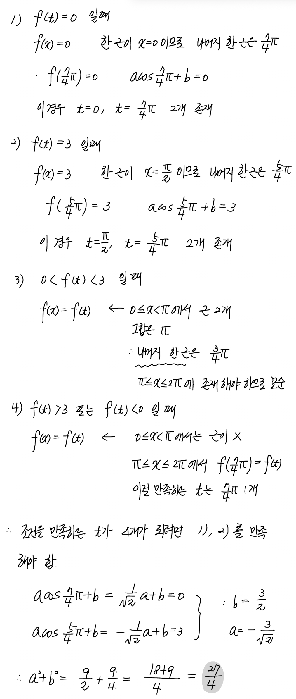
두 상수 $a$ ($a \ne 0$), $b$ 에 대하여 닫힌구간 $[0, 2\pi]$ 에서 정의된 함수
$$f(x) = \begin{cases} 3 \sin x & (0 \le x < \pi) \\ a \cos x + b & (\pi \le x \le 2\pi) \end{cases}$$
가 있다. $0 \le t \le 2\pi$ 인 실수 $t$ 에 대하여 $x$ 에 대한 방정식 $f(x)=f(t)$ 를 만족시키는 모든 $x$ 의 값의 합이 $\dfrac{7}{4}\pi$ 가 되도록 하는 서로 다른 모든 실수 $t$ 의 개수가 $4$ 일 때, $a^{2}+b^{2}$ 의 값은? 

① $\dfrac{13}{2}$          ② $\dfrac{27}{4}$          ③ $7$          ④ $\dfrac{29}{4}$          ⑤ $\dfrac{15}{2}$

 

더보기

정답 ②

Comments