관리 메뉴


수악중독

쌍곡선의 정의_난이도 중 (2026년 3월 고3 기하 28번) 본문

기하 - 문제풀이/이차곡선

쌍곡선의 정의_난이도 중 (2026년 3월 고3 기하 28번)

수악중독 2026. 3. 27. 00:08

 

 

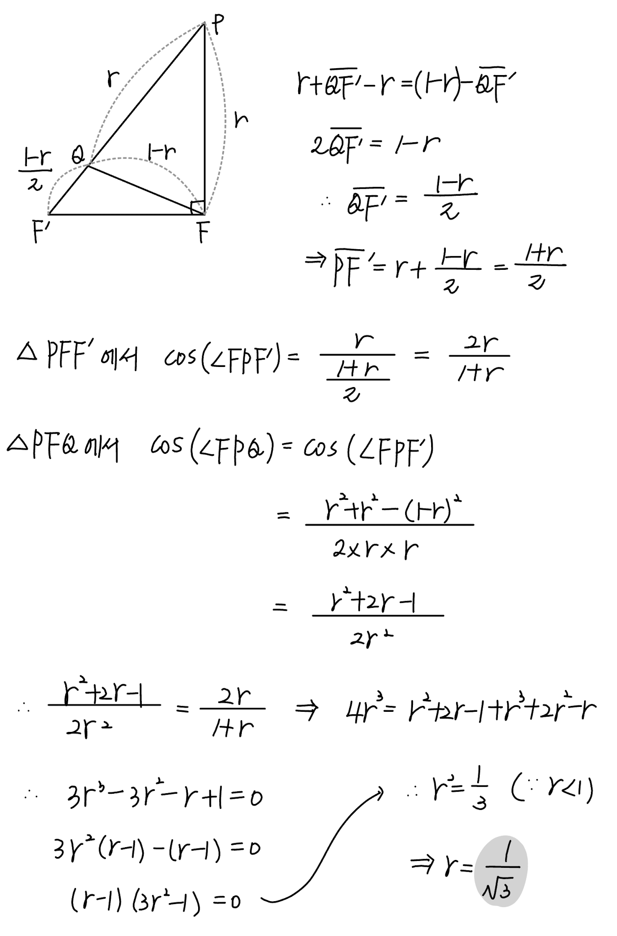
그림과 같이 두 점 $\mathrm{F}(c, \;  0)$,  $\mathrm{F}^{\prime}(-c,\;  0) \;(c>0)$을 초점으로 하는 쌍곡선이 있다. 이 쌍곡선 위의 점 중 제1사분면에 있는 점 $\mathrm{P}$ 에 대하여 선분 $\mathrm{F}^{\prime}\mathrm{P}$ 가 이 쌍곡선과 만나는 점 중 $\mathrm{P}$ 가 아닌 점을 $\mathrm{Q}$ 라 하고, 점 $\mathrm{P}$ 를 중심으로 하고 점 $\mathrm{Q}$ 를 지나는 원을 $C$ 라 하자. 원 $C$ 가 $x$ 축과 점 $\mathrm{F}$ 에서 접하고 $\overline{\mathrm{PQ}}+\overline{\mathrm{FQ}}=1$ 일 때, 원 $C$ 의 반지름의 길이는? 

 

 

① $\dfrac{3\sqrt{3}}{10}$          ② $\dfrac{2\sqrt{2}}{5}$          ③ $\dfrac{\sqrt{3}}{3}$          ④ $\dfrac{5\sqrt{2}}{12}$          ⑤ $\dfrac{3\sqrt{2}}{7}$

 

더보기

정답 ③

Comments