관리 메뉴


수악중독

함수의 극대와 극소 활용_난이도 상 (2026년 3월 고3 15번) 본문

수학2 - 문제풀이/미분

함수의 극대와 극소 활용_난이도 상 (2026년 3월 고3 15번)

수악중독 2026. 3. 26. 00:34

 

 

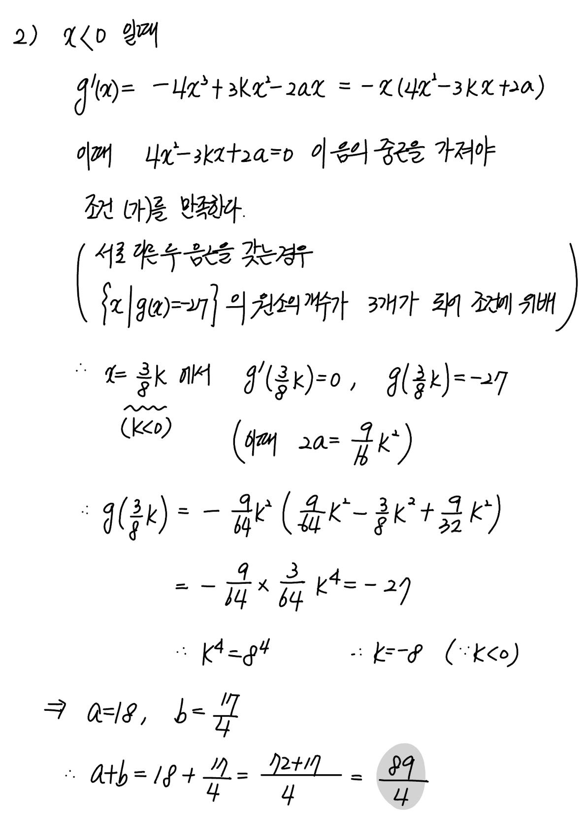
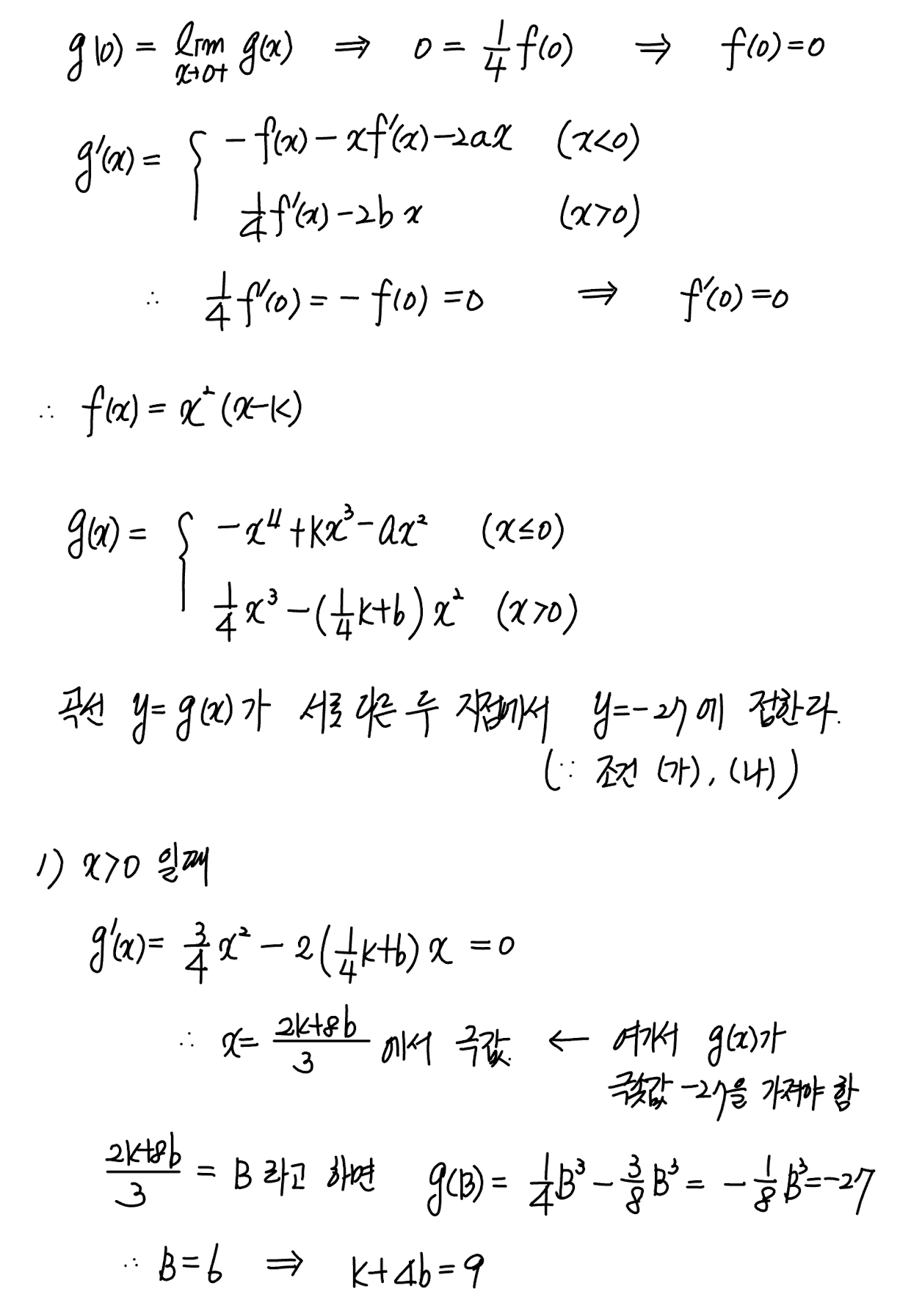
최고차항의 계수가 $1$ 인 삼차함수 $f(x)$ 와 두 상수 $a, b$ 에 대하여 함수
$$\mathrm{g}(x) = \begin{cases} -x f(x)-ax^{2} & (x \le 0) \\ \dfrac{1}{4} f(x)-bx^{2} & (x > 0) \end{cases}$$
이 실수 전체의 집합에서 미분가능하다. 함수 $g(x)$ 가 다음 조건을 만족시킬 때, $a+b$ 의 값은? 

 

(가) 집합 $\{x | g(x)=-27\}$ 의 원소의 개수는 $2$ 이다.
(나) $\{x | g(x)=-27\} \subset \{x | g^{\prime}(x)=0\}$

 

① $\dfrac{85}{4}$          ② $\dfrac{87}{4}$          ③ $\dfrac{89}{4}$          ④ $\dfrac{91}{4}$          ⑤ $\dfrac{93}{4}$

 

더보기

정답 ③

Comments