| 일 | 월 | 화 | 수 | 목 | 금 | 토 |
|---|---|---|---|---|---|---|
| 1 | 2 | 3 | 4 | 5 | 6 | 7 |
| 8 | 9 | 10 | 11 | 12 | 13 | 14 |
| 15 | 16 | 17 | 18 | 19 | 20 | 21 |
| 22 | 23 | 24 | 25 | 26 | 27 | 28 |
| 29 | 30 | 31 |
Tags
- 이차곡선
- 정적분
- 여러 가지 수열
- 기하와 벡터
- 적분과 통계
- 중복조합
- 수열
- 경우의 수
- 함수의 연속
- 적분
- 수열의 극한
- 수학1
- 수만휘 교과서
- 수학질문
- 미적분과 통계기본
- 도형과 무한등비급수
- 함수의 그래프와 미분
- 행렬
- 확률
- 행렬과 그래프
- 수능저격
- 미분
- 수악중독
- 수학질문답변
- 심화미적
- 함수의 극한
- 수학2
- 접선의 방정식
- 로그함수의 그래프
- 이정근
Archives
- Today
- Total
수악중독
여러 가지 수열의 합_난이도 중상 (2026년 3월 고3 20번) 본문
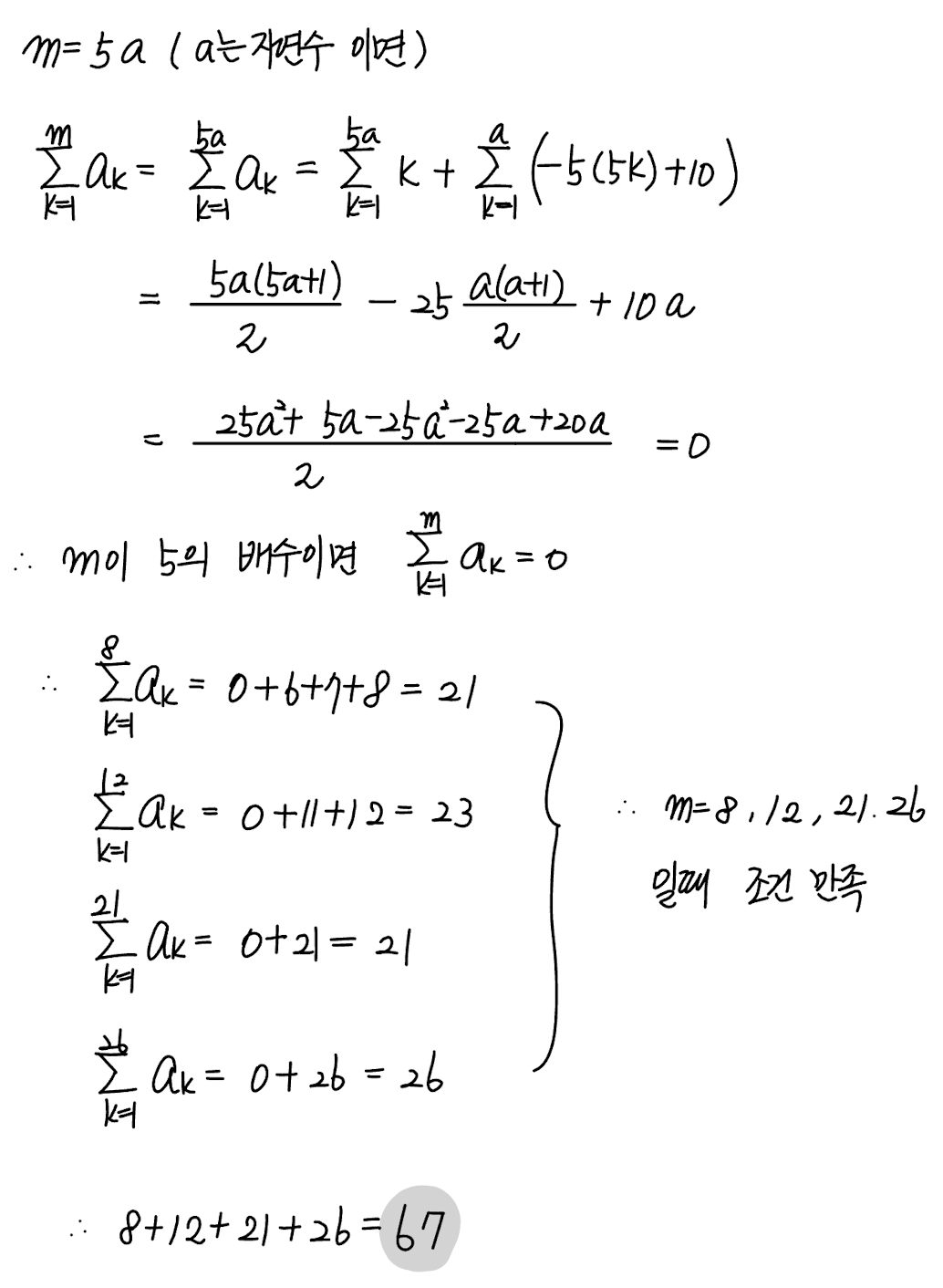
수열 $\{a_{n}\}$ 이 모든 자연수 $n$ 에 대하여
$$a_{n} = \begin{cases} n & (n \text{ 이 } 5 \text{ 의 배수가 아닌 경우}) \\ -4n+10 & (n \text{ 이 } 5 \text{ 의 배수인 경우}) \end{cases}$$
일 때, $20 \le \displaystyle {\sum_{k=1}^{m} a_{k}} < 30$ 을 만족시키는 모든 자연수 $m$ 의 값의 합을 구하시오.
더보기

정답 $67$

Comments