관리 메뉴


수악중독

포물선의 정의_난이도 중 (2026년 3월 고3 기하 29번) 본문

기하 - 문제풀이/이차곡선

포물선의 정의_난이도 중 (2026년 3월 고3 기하 29번)

수악중독 2026. 3. 26. 00:24

 

 

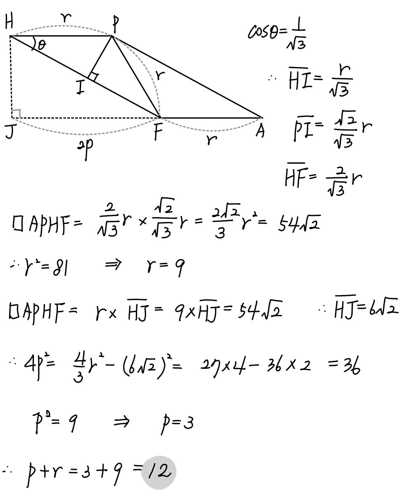
초점이 $\mathrm{F}(p, 0)$ ($p>0$)이고 준선이 $x=-p$ 인 포물선과 점 $\mathrm{F}$ 를 중심으로 하고 반지름의 길이가 $r$ ($r>p$)인 원 $\mathrm{C}$ 가 있다. 원 $\mathrm{C}$ 가 $x$ 축과 만나는 점 중 $x$ 좌표가 양수인 점을 $\mathrm{A}$ 라 하고, 원 $\mathrm{C}$ 가 이 포물선과 만나는 점 중 제$1$사분면에 있는 점을 $\mathrm{P}$ 라 하자. 점 $\mathrm{P}$ 에서 이 포물선의 준선에 내린 수선의 발을 $\mathrm{H}$ 라 하자. $\cos(\angle \mathrm{PHF}) = \dfrac{\sqrt{3}}{3}$ 이고 사각형 $\mathrm{APHF}$ 의 넓이가 $54\sqrt{2}$ 일 때, $p+r$ 의 값을 구하시오.

 

더보기

정답 $12$

Comments