| 일 | 월 | 화 | 수 | 목 | 금 | 토 |
|---|---|---|---|---|---|---|
| 1 | 2 | 3 | 4 | 5 | 6 | 7 |
| 8 | 9 | 10 | 11 | 12 | 13 | 14 |
| 15 | 16 | 17 | 18 | 19 | 20 | 21 |
| 22 | 23 | 24 | 25 | 26 | 27 | 28 |
| 29 | 30 | 31 |
Tags
- 수능저격
- 여러 가지 수열
- 수열
- 수학2
- 접선의 방정식
- 함수의 극한
- 수만휘 교과서
- 적분
- 함수의 연속
- 경우의 수
- 중복조합
- 이정근
- 행렬
- 행렬과 그래프
- 수학질문답변
- 정적분
- 도형과 무한등비급수
- 수학1
- 확률
- 수악중독
- 미분
- 수열의 극한
- 미적분과 통계기본
- 수학질문
- 함수의 그래프와 미분
- 적분과 통계
- 심화미적
- 기하와 벡터
- 로그함수의 그래프
- 이차곡선
Archives
- Today
- Total
수악중독
정적분 형태로 정의된 함수_난이도 상 (2026년 3월 고3 21번) 본문
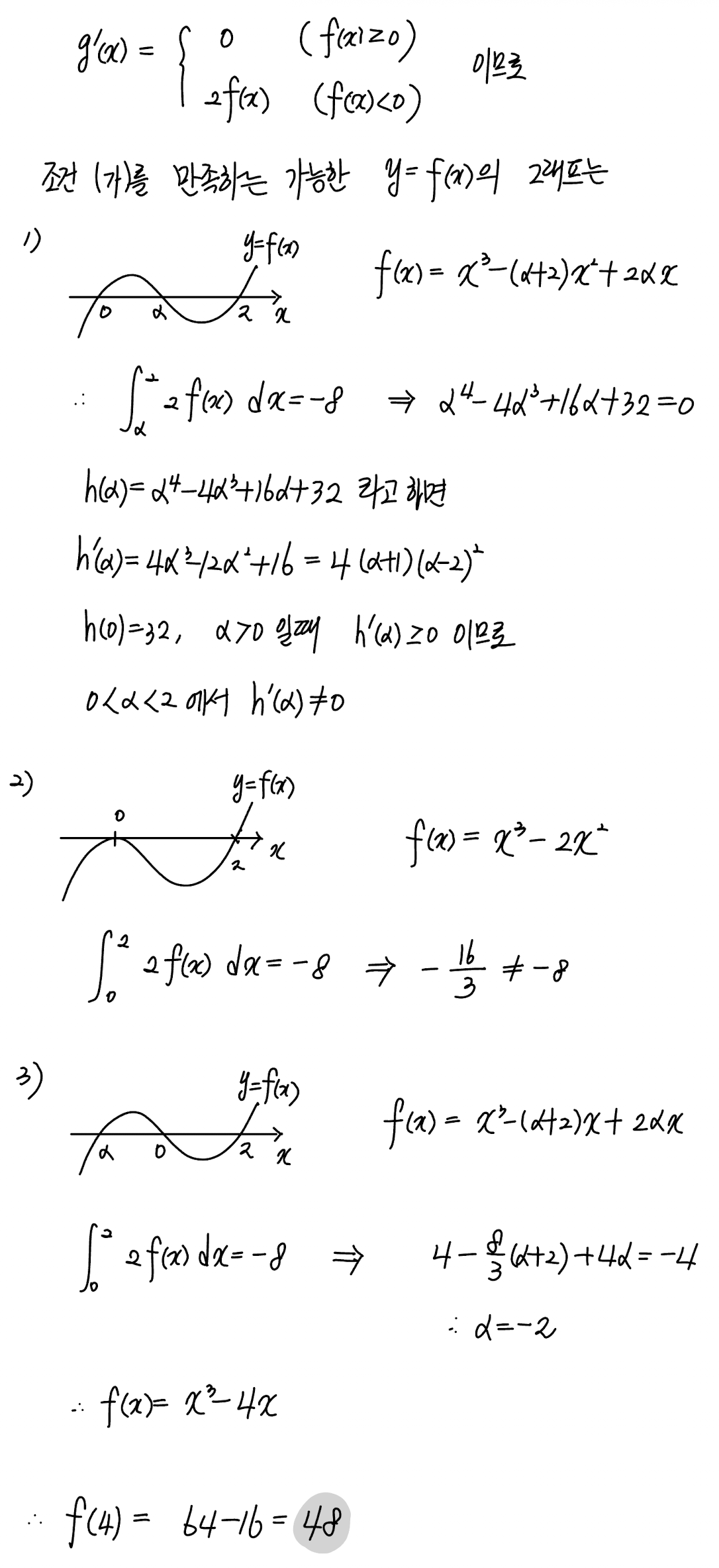
최고차항의 계수가 $1$ 이고 $f(0)=0$ 인 삼차함수 $f(x)$ 에 대하여 함수
$$g(x) = \displaystyle{\int_{0}^{x} (f(t) - |f(t)|) \; dt}$$
가 다음 조건을 만족시킬 때, $f(4)$ 의 값을 구하시오.
(가) $x \ge k$ 인 모든 실수 $x$ 에 대하여 $g^{\prime}(x)=0$ 을 만족시키는 실수의 최솟값이 $2$ 이다.
(나) $g(2)=-8$
더보기

정답 $48$

Comments