관리 메뉴


수악중독

쌍곡선의 정의 & 쌍곡선의 방정식_난이도 상 (2026년 3월 고3 기하 30번) 본문

기하 - 문제풀이/이차곡선

쌍곡선의 정의 & 쌍곡선의 방정식_난이도 상 (2026년 3월 고3 기하 30번)

수악중독 2026. 3. 25. 01:04

 

 

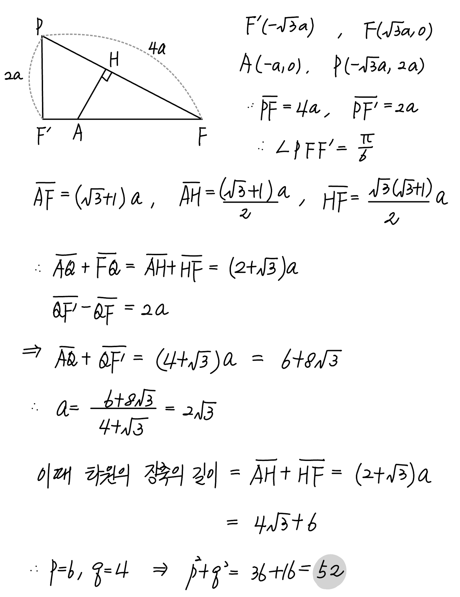
그림과 같이 두 점 $\mathrm{F}(c, 0), \mathrm{F}^{\prime}(-c, 0)$ ($c>0$)을 초점으로 하는 쌍곡선 $\dfrac{x^{2}}{a^{2}} - \dfrac{y^{2}}{2a^{2}} = 1$ 이 있다. 이 쌍곡선의 꼭짓점 중 $x$ 좌표가 음수인 점을 $\mathrm{A}$ 라 하고, 점 $\mathrm{F}^{\prime}$ 을 지나고 $x$ 축에 수직인 직선이 이 쌍곡선과 만나는 점 중 제$2$사분면에 있는 점을 $\mathrm{P}$ 라 하자. 점 $\mathrm{A}$ 에서 선분 $\mathrm{PF}$ 에 내린 수선의 발을 $\mathrm{H}$ 라 하자. 두 점 $\mathrm{A, F}$ 를 초점으로 하고 점 $\mathrm{H}$ 를 지나는 타원이 이 쌍곡선과 만나는 점 중 제$1$사분면에 있는 점을 $\mathrm{Q}$ 라 하자. $\overline{\mathrm{AQ}}+\overline{\mathrm{FQ}} = 6+8\sqrt{3}$ 일 때, 이 타원의 장축의 길이는 $p+q\sqrt{3}$ 이다. $p^{2}+q^{2}$ 의 값을 구하시오. (단, $a$ 는 양수이고, $p$ 와 $q$ 는 유리수이다.) 

 

더보기

정답 $52$

Comments