| 일 | 월 | 화 | 수 | 목 | 금 | 토 |
|---|---|---|---|---|---|---|
| 1 | 2 | 3 | 4 | 5 | 6 | 7 |
| 8 | 9 | 10 | 11 | 12 | 13 | 14 |
| 15 | 16 | 17 | 18 | 19 | 20 | 21 |
| 22 | 23 | 24 | 25 | 26 | 27 | 28 |
| 29 | 30 | 31 |
- 적분과 통계
- 심화미적
- 수학질문
- 행렬과 그래프
- 접선의 방정식
- 로그함수의 그래프
- 수학1
- 확률
- 미분
- 여러 가지 수열
- 경우의 수
- 함수의 그래프와 미분
- 적분
- 미적분과 통계기본
- 수열
- 함수의 연속
- 중복조합
- 정적분
- 도형과 무한등비급수
- 수능저격
- 행렬
- 수학2
- 수만휘 교과서
- 이정근
- 함수의 극한
- 수학질문답변
- 수악중독
- 수열의 극한
- 이차곡선
- 기하와 벡터
- Today
- Total
목록부분적분 (21)
수악중독
곡선 $f(x)=\dfrac{x}{e^{x-2}}$ 위의 점 ${\rm P}(t, \; f(t)) \;(t>0)$ 에 대하여 점 $\rm P$ 를 지나고 직선 $\rm OP$ 에 수직인 직선이 $x$ 축, $y$ 축과 만나는 점을 각각 $\rm Q, \; R$ 라 하자. 두 선분 $\rm OQ, \; OR$ 의 길이 중 크지 않은 값을 $g(t)$ 라 할 때, $\displaystyle \int_1^2 g(t) dt = pe -q$ 이다. $20pq$ 의 값을 구하시오. (단, $\rm O$ 는 원점이고, $p, \;q$ 는 유리수이다.) 정답 $80$
양의 실수 전체의 집합에서 미분가능한 두 함수 $f(x)$ 와 $g(x)$ 가 모든 양의 실수 $x$ 에 대하여 다음 조건을 만족한다. (가) $\left ( \dfrac{f(x)}{x} \right )' = x^2 e^{-x^2}$(나) $g(x) = \dfrac{4}{e^4} \displaystyle \int_1^x e^{t^2}f(t) dt$ $f(1)=\dfrac{1}{e}$ 일 때, $f(2)-g(2)$ 의 값은? ① $\dfrac{16}{3e^4}$ ② $\dfrac{6}{e^4}$ ③ $\dfrac{20}{3e^4}$ ④ $\dfrac{22}{3e^4}$ ⑤ $\dfrac{8}{e^4}$ 정답 ③
그림과 같이 함수 $f(x)=\sqrt{x} e^{\frac{x}{2}}$ 에 대하여 좌표평면 위의 두 점 ${\rm A}(x, \;0), \; {\rm B}(x, \;f(x))$ 를 이은 선분을 한 변으로 하는 정사각형을 $x$ 축에 수직인 평면 위에 그린다. 점 $\rm A$의 $x$ 좌표가 $x=1$ 에서 $x=\ln 6$ 까지 변할 때, 이 정사각형이 만드는 입체도형의 부피는 $-a+b \ln 6$ 이다. $a+b$ 의 값을 구하시오. (단, $a$ 와 $b$ 는 자연수이다.) 정답 $12$
실수 전체의 집합에서 미분가능한 함수 \(f(x)\) 가 다음 조건을 만족시킨다. (가) \(f(1)=2\)(나) \(\displaystyle \int _0 ^1 (x-1) f'(x+1) dx = -4\) \(\displaystyle \int _1 ^2 f(x) dx\) 의 값을 구하시오. (단, \(f'(x)\) 는 연속함수이다.) 정답 \(6\)
구간 \((0,\; \infty)\) 에서 연속인 함수 \(f(x)\) 의 한 부정적분을 \(F(x)\) 라 할 때, 함수 \(F(x)\) 가 다음 조건을 만족시킨다. (가) 모든 양수 \(x\) 에 대하여 \(F(x)+xf(x)=(2x+2)e^x\)(나) \(F(1)=2e\) \(F(3)\) 의 값은? ① \(\dfrac{1}{4}e^3\) ② \(\dfrac{1}{2}e^3\) ③ \(e^3\) ④ \(2e^3\) ⑤ \(4e^34\) 정답 ④
자연수 \(n\) 에 대하여 함수 \(f(n)=\displaystyle \int _1^n x^3 e^{x^2} dx\) 라 할 때, \(\dfrac{f(5)}{f(3)}\) 의 값은? ① \(e^{14}\) ② \(2 e^{16}\) ③ \(3e^{16}\) ④ \(4e^{18}\) ⑤ \(5e^{18}\) 정답 ③
함수 \(I_n(x)= \displaystyle \int (\ln x)^n dx \; (n=1,\;2,\;3,\;\cdots)\) 에 대한 보기의 설명 중에서 옳은 것만을 있는 대로 고른 것은? (단, \(C\) 는 적분 상수) ㄱ. \(I_1(x)=x \ln x - x+C\)ㄴ. \(I_n(x)=x(\ln x)^n -n I_{n-1}(x)\)ㄷ. \(I_5(1)=0\) 이면 \(I_5(e)=75e\) ① ㄱ ② ㄴ ③ ㄱ, ㄴ ④ ㄴ, ㄷ ⑤ ㄱ, ㄴ, ㄷ 정답 ③
실수 전체에서 함수 \(f(x)=(x^2+a)e^x\) 의 역함수가 존재하기 위한 상수 \(a\) 의 최소값을 \(m\) 이라 하자. 함수 \(g(x)=\left ( x^2+m \right ) e^x\)의 역함수를 \(h(x)\) 라 할 때, \(\displaystyle \int _{m}^{2e} h(x) dx\) 의 값은? ① \(1\) ② \(2\) ③ \(3\) ④ \(4\) ⑤ \(5\) 정답 ③
연속함수 \(y=f(x)\) 의 그래프가 원점에 대하여 대칭이고, 모든 실수 \(x\) 에 대하여 \[ f(x)=\dfrac{\pi}{2} \displaystyle \int _1 ^{x+1} f(t) dt \] 이다. \(f(1)=1\) 일 때, \[ \pi ^2 \displaystyle \int _0^1 xf(x+1) dx\] 의 값은? ① \(2(\pi-2)\) ② \(2\pi -3\) ③ \(2(\pi-1)\) ④ \(2\pi -1\) ⑤ \(2\pi\) 정답 ①
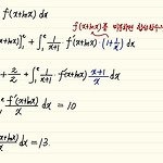
실수 전체의 집합에서 미분가능한 함수 \(f(x)\) 가 \[f(1)=2,\;\;f(e+1)=4e+4,\;\; \displaystyle \int _1^e \dfrac{f(x+ \ln x)}{(x+1)^2} dx = 10\] 을 만족시킬 때, \(\displaystyle \int _1^e \dfrac{f'(x + \ln x)}{x} dx\) 의 값은? ① \(-7\) ② \(-1\) ③ \(5\) ④ \(13\) ⑤ \(17\) 정답 ④