| 일 | 월 | 화 | 수 | 목 | 금 | 토 |
|---|---|---|---|---|---|---|
| 1 | 2 | 3 | 4 | 5 | 6 | 7 |
| 8 | 9 | 10 | 11 | 12 | 13 | 14 |
| 15 | 16 | 17 | 18 | 19 | 20 | 21 |
| 22 | 23 | 24 | 25 | 26 | 27 | 28 |
- 경우의 수
- 이정근
- 로그함수의 그래프
- 도형과 무한등비급수
- 적분
- 행렬
- 수능저격
- 접선의 방정식
- 함수의 연속
- 정적분
- 함수의 극한
- 수학2
- 수학질문
- 기하와 벡터
- 이차곡선
- 여러 가지 수열
- 심화미적
- 중복조합
- 미적분과 통계기본
- 수열
- 미분
- 수학1
- 수악중독
- 함수의 그래프와 미분
- 수만휘 교과서
- 행렬과 그래프
- 수학질문답변
- 수열의 극한
- 적분과 통계
- 확률
- Today
- Total
목록등비수열 (22)
수악중독
다음은 어느 회사의 연봉에 관한 규정이다. (가) 입사 첫 째 해 연봉은 \(a\) 원이고, 입사 \(19\) 년 째 해까지의 연봉은 해마다 직전 연봉에서 \(8\%\) 씩 인상된다. (나) 입사 \(20\) 년 째 해부터의 연봉은 입사 \(19\) 년 째 해 연봉의 \(\dfrac{2}{3}\) 으로 한다. 이 회사에 입사한 사람이 \(28\) 년 동안 근무하여 받는 연봉의 총합은? (단, \(1.08^{18} =4\) 로 계산한다.) ① \({\displaystyle \frac{101}{2}}a\) ② \({\displaystyle \frac{111}{2}}a\) ③ \({\displaystyle \frac{121}{2}}a\) ④ \({\displaystyle \frac{131}{2}}a\) ⑤ \..
수열 \(\{ a_n \}\) 에서 각각의 자연수 \(n\) 에 대하여 세 항 \(a_{2n-1},\;a_{2n},\;a_{2n+1} \) 은 등차수열을 이루고 세 항 \(a_{2n},\;a_{2n+1},\;a_{2n+2}\) 는 등비수열을 이룬다. \(a_1 =1,\;a_2 = 2\) 일 때, \(a_{13}\) 의 값을 구하시오. 정답 28
그림과 같은 직사각형 \(\rm ABCD\)의 꼭짓점 \(\rm D\)에서 대각선 \(\rm AC\)에 내린 수선의 발을 \(\rm E\), 직선 \(\rm DE\)와 변 \(\rm BC\)의 교점을 \(\rm F\)라 하자. \(\angle \rm AEB = 45^o ,\;\; \overline {\rm AF} = 2\) 이고 \(\overline {\rm FC},\; \overline {\rm CD},\; \overline {\rm AD} \)가 이 순서로 등비수열을 이룰 때, 직사각형 \(\rm ABCD\)의 넓이는? (단, \(\overline {\rm AD} > \overline {\rm AB}\)) ① \(1+\sqrt{2}\) ② \(1+\sqrt{3}\) ③ \(1+\sqrt{5}\) ④ ..
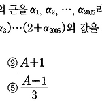
\(x^{2006} =1\) 의 \(1\) 이외의 근을 \(\alpha _1 ,\; \alpha _2 , \; \cdots , \; \alpha _{2005}\) 라고 할 때, \[(2+\alpha_1 ) (2+\alpha_2 )(2+\alpha _3 ) \cdots (2+\alpha_{2005} ) \] 의 값을 \(2^{2006} = A\) 를 이용하여 나타내면? ① \(A-1\) ② \(A+1\) ③ \(2A\) ④ \(\dfrac{1-A}{3}\) ⑤ \(\dfrac{A-1}{3}\) 정답 ⑤
그림과 같이 넓이가 \(1\) 인 정삼각형 \(A_0\) 에서 시작하여 도형 \(A_1 , \; A_2 , \; \cdots\) 를 만든다. 여기서 \(A_n\) 은 \(A_{n-1}\) 의 각 변의 \(3\) 등분점을 꼭짓점으로 가지는 정삼각형을 \(A_{n-1}\) 의 바깥쪽에 덧붙인 도형이다. (1) 도형 \(A_n\) 의 변의 개수를 구하시오. (2) 도형 \(A_n\) 의 넓이를 \(S_n\) 이라고 할 때, \(S_n\) 을 구하시오. 정답 (풀이 참조)
\((x+2)\left ( x+2^2 \right ) \left ( x+ 2^3 \right ) \cdots \left ( x+ 2^{10} \right ) \) 을 전개한 식에서 \(x^9\) 의 계수를 \(a\), \(x^8\) 의 계수를 \(b\) 라 할 때, \({\dfrac{a}{b}} \left ( 2^{10} -2 \right ) \) 의 값은? ① \(2^{10}\) ② \(2^{10}-2\) ③ \(\dfrac{3}{2}\) ④ \(1\) ⑤ \(\dfrac{2^5}{2^{10} -1} \) 정답 ③
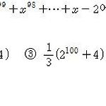
\(100\) 차 다항식 \(p(x)=x^{100} +x^{99} + x^{98} + \cdots + x -2\) 에 대하여 \(g(x)=p \left ( p(x) \right ) \) 의 상수항은? ① \(-2\) ② \({\dfrac{1}{3}} \left ( 2^{100} -4 \right ) \) ③ \({\dfrac{1}{3}} \left ( 2^{100} +4 \right ) \) ④ \({\dfrac{1}{3}} \left ( 2^{101} -8 \right ) \) ⑤ \(2^{100}\) 정답 ④
오른쪽 그림과 같이 지름의 길이가 \(20\) 인 원에 내접하는 \(□{\rm ABCD}\) 의 네 변 \(\rm DA,\; AB,\; BC, \; CD\) 의 길이가 이 순서대로 등비수열을 이룬다. \( □{\rm ABCD}\) 의 넓이가 최대일 때, \(□{\rm ABCD}\) 의 둘레의 길이는 \(k\sqrt{2}\) 이다. 이 때, 상수 \(k\) 의 값을 구하시오. 정답 40
다음 그림과 같이 두 직선 \(l,\;m\) 에 동시에 접하면서 이웃하는 것끼리 서로 외접하는 \(10\) 개의 원 \({\rm C}_n\) 의 반지름의 길이를 \(r_n\;\;(n=1,\;2,\;3,\; \cdots )\) 이라 하자. \(r_1 =1,\; r_3 =2\) 일 때, \(r_1 +r_2 + r_3 +\cdots +r_{10}\) 의 값은? ① \(30 \left ( \sqrt{2} -1 \right )\) ② \(30\sqrt{2}\) ③ \(30 \left ( \sqrt{2} +1 \right )\) ④ \(31 \left ( \sqrt{2} -1 \right )\) ⑤ \(31 \left ( \sqrt{2} +1 \right )\) 정답 ⑤
그림과 같이 한 변의 길이가 \(4\) 인 정삼각형 \(\rm ABC\) 와 한 변의 길이가 \(r\) 인 정삼각형 \(\rm DEF\) 를 겹쳐서 점 \(\rm E\) 가 \(\overline {\rm BC}\) 위에 오도록 정삼각형 \(\rm GEC\) 를 만들고, \(\overline {\rm EG} = \overline {\rm GH}\) 가 되도록 점 \(\rm H\) 를 \( \overline {\rm DG}\) 위에 잡는다. \(\triangle {\rm GEC},\; \triangle {\rm AGH},\; \triangle {\rm DEF}\) 의 각각의 넓이가 이 순서로 공비가 \(r\) 인 등비수열을 이룰 때, \(r\) 의 값은? ① \(\dfrac{3}{2}\) ② \(2\) ③ ..