| 일 | 월 | 화 | 수 | 목 | 금 | 토 |
|---|---|---|---|---|---|---|
| 1 | ||||||
| 2 | 3 | 4 | 5 | 6 | 7 | 8 |
| 9 | 10 | 11 | 12 | 13 | 14 | 15 |
| 16 | 17 | 18 | 19 | 20 | 21 | 22 |
| 23 | 24 | 25 | 26 | 27 | 28 | 29 |
| 30 |
- 수학질문
- 수악중독
- 로그함수의 그래프
- 함수의 극한
- 접선의 방정식
- 심화미적
- 정적분
- 적분
- 적분과 통계
- 이차곡선
- 함수의 그래프와 미분
- 중복조합
- 확률
- 여러 가지 수열
- 미적분과 통계기본
- 경우의 수
- 수학질문답변
- 수능저격
- 수학1
- 수만휘 교과서
- 함수의 연속
- 도형과 무한등비급수
- 미분
- 행렬과 그래프
- 수열의 극한
- 행렬
- 이정근
- 기하와 벡터
- 수열
- 수학2
- Today
- Total
목록점화식과 극한 (8)
수악중독
\(a_1=1,\; 2a_{n+1}+a_n=2\;(단, \;n=1,\;2,\;3,\;\cdots)\) 를 만족시키는 수열 \(\{a_n\}\) 에 대하여 에서 옳은 것을 모두 고르면? ㄱ. 수열 \(\left \{ a_n -\dfrac{2}{3} \right \}\) 는 공비가 \(-\dfrac{1}{2}\) 인 등비수열이다. ㄴ. \(\lim \limits_{n \to \infty}a_n\) 은 수렴한다. ㄷ. \(\sum \limits_{n=1}^{\infty} a_n\) 은 수렴한다. ① ㄱ ② ㄷ ③ ㄱ, ㄴ ④ ㄴ, ㄷ ⑤ ㄱ, ㄴ, ㄷ 정답 ③
\(2500 \rm L\) 의 물을 저장할 수 있는 물탱크에 현재 \(1200 \rm L\) 의 물이 담겨 있다. 이 물탱크에 있는 물의 양의 \(12%\) 를 사용한 다음 \(x \rm L\) 의 물을 넣는 시행을 한다. 이와 같은 시행을 \(n\) 번 반복한 후 물탱크에 남아 있는 물의 양을 \(a_n \rm L\) 라 하자. 부등식 \(\lim \limits_{n \to \infty} a_n \leq 2000\) 이 성립하도록 하는 \(x\) 의 최댓값을 구하시오. 정답 \(240\)
어느 강 상류와 하류에 각각 위치한 \(1\) 호 댐과 \(2\) 호 댐이 있다. 강 상류의 \(1\) 호 댐으로부터 \(2\) 호 댐으로 매일 \(100\) 만톤의 물이 유입되고, 정오에 \(2\) 호 댐의 저수량을 측정한다. 정오부터는 측정된 저수량의 \(2%\) 를 농업용수와 생활용수 등을 위하여 강 하류로 방류한다고 한다. 매일 이와 같은 과정이 한없이 반복된다고 할 때, 정오에 측정되는 \(2\) 호 댐의 저수량은 어떤 값에 한없이 가까워지는가? (단 방류는 그날 중으로 이루어지고 자연 증발 및 기타 유실량은 무시한다.)① \(4400\) 톤 ② \(4600\) 톤 ③ \(4800\) 톤 ④ \(5000\) 톤 ⑤ \(5200\) 톤 정답 ④
무한수열 \[2+\dfrac{1}{2},\;\; 2+\dfrac{1}{2+\dfrac{1}{2}},\;\; 2+\dfrac{1}{2+\dfrac{1}{2+\dfrac{1}{2}}}, \;\; \cdots\]은 수렴하는 것으로 알려져 있다. 다음은 그 극한값을 구하는 과정이다. 주어진 수열을 \(\{a_n\}\) 이라 하면 \(a_1=2+\dfrac{1}{2}\) 이고 이 수열의 극한값을 \(x\) 라고 하면 \(\lim \limits_{n \to \infty} a_n = x, \;\; \lim \limits_{n \to \infty} a_{n+1}=x\) 이므로 \(x=(가)+\dfrac{1}{x}\) 이다. 따라서 구하는 극값값은 \((나)\) 이다. 위의 과정에서 (가), (나)에 알맞은 것은? ① ..
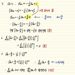
다음과 같이 정의된 수열 \(\{a_n\}\) 이 있다. \[\left\{ {\begin{array}{ll} {{a_1} = 2}\\ {{a_{n + 1}} = \dfrac{3}{4}{a_n} + 4\;\;\left( {n = 1,\;2,\;3,\; \cdots } \right)} \end{array}\;\;} \right.\] \(\lim \limits_{n \to \infty} a_n\) 의 값을 구하시오. 정답 \(16\)
\(a,\;b\) 가 양수일 때, 이차방정식 \(x^2 -2ax-b=0\) 과 수열 \(\left \{ x_n \right \}\) 이 다음을 만족한다. (가) 이차방정식 \(x^2 -2ax-b=0\) 은 서로 다른 두 실근 \( \alpha,\;\beta\) 를 갖는다. (단, \(\alpha
다음 표와 같이 윗줄에는 수열 \(\{a_n\}\) 이 나열되고 있고, 아랫줄에는 짝수가 나열되어 있다. \[a_1\] \[a_2\] \[a_3\] \[a_4\] \[a_5\] \[\cdots\] \[p\] \[q\] \[\cdots\] \[2\] \[4\] \[6\] \[8\] \[10\] \[\cdots\] \[r\] \[s\] \[\cdots\] 임의의 사각형 모양으로 네 수 \(p,\;q,\;r,\; s\) 를 잡으면 \(ps-qr=400\) 이 성립한다. 이때, \(\lim \limits _{n \to \infty} {\Large \frac{a_n}{n}} \) 의 값은? (단, \(a_1 =3\) ) ① \(-200\) ② \(-197\) ③ \(0\) ④ \(197\) ⑤ \(200\) 정답 ②