| 일 | 월 | 화 | 수 | 목 | 금 | 토 |
|---|---|---|---|---|---|---|
| 1 | 2 | 3 | 4 | 5 | 6 | 7 |
| 8 | 9 | 10 | 11 | 12 | 13 | 14 |
| 15 | 16 | 17 | 18 | 19 | 20 | 21 |
| 22 | 23 | 24 | 25 | 26 | 27 | 28 |
| 29 | 30 | 31 |
Tags
- 수열의 극한
- 함수의 극한
- 경우의 수
- 수학2
- 수능저격
- 적분과 통계
- 정적분
- 로그함수의 그래프
- 확률
- 심화미적
- 적분
- 미적분과 통계기본
- 수악중독
- 행렬
- 접선의 방정식
- 수만휘 교과서
- 수학1
- 미분
- 함수의 연속
- 수열
- 도형과 무한등비급수
- 기하와 벡터
- 이정근
- 함수의 그래프와 미분
- 이차곡선
- 여러 가지 수열
- 수학질문답변
- 수학질문
- 행렬과 그래프
- 중복조합
Archives
- Today
- Total
수악중독
사인함수의 그래프 특징&등비수열의 합_난이도 중 (2021년 9월 전국연합 고2 17번) 본문
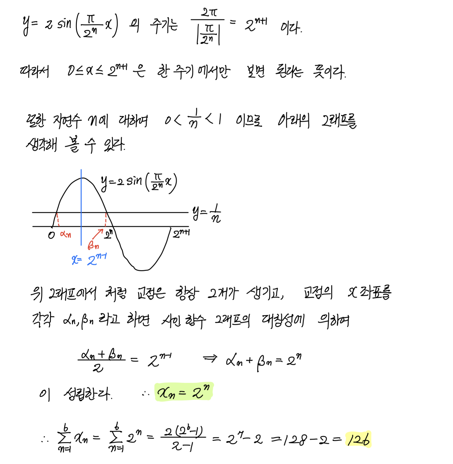
자연수 $n$ 에 대하여 $ 0 \le x \le 2^{n+1}$ 에서 함수 $y=2 \sin \left ( \dfrac{\pi}{2^n}x \right )$ 의 그래프가 직선 $y=\dfrac{1}{n}$ 과 만나는 모든 점의 $x$ 좌표의 합을 $x_n$ 이라 하자. $\sum \limits_{n=1}^6 x_n$ 의 값은?
① $122$ ② $126$ ③ $130$ ④ $134$ ⑤ $138$
더보기

정답 ②

Comments