| 일 | 월 | 화 | 수 | 목 | 금 | 토 |
|---|---|---|---|---|---|---|
| 1 | 2 | 3 | 4 | 5 | 6 | 7 |
| 8 | 9 | 10 | 11 | 12 | 13 | 14 |
| 15 | 16 | 17 | 18 | 19 | 20 | 21 |
| 22 | 23 | 24 | 25 | 26 | 27 | 28 |
| 29 | 30 | 31 |
Tags
- 심화미적
- 수학2
- 경우의 수
- 적분과 통계
- 로그함수의 그래프
- 이차곡선
- 수악중독
- 함수의 극한
- 수학질문답변
- 수열
- 함수의 그래프와 미분
- 수학질문
- 수능저격
- 적분
- 이정근
- 수만휘 교과서
- 정적분
- 기하와 벡터
- 행렬과 그래프
- 수학1
- 접선의 방정식
- 도형과 무한등비급수
- 확률
- 미적분과 통계기본
- 여러 가지 수열
- 수열의 극한
- 행렬
- 함수의 연속
- 중복조합
- 미분
Archives
- Today
- Total
수악중독
미분가능성_난이도 상 (2014년 수능 B형 30번) 본문
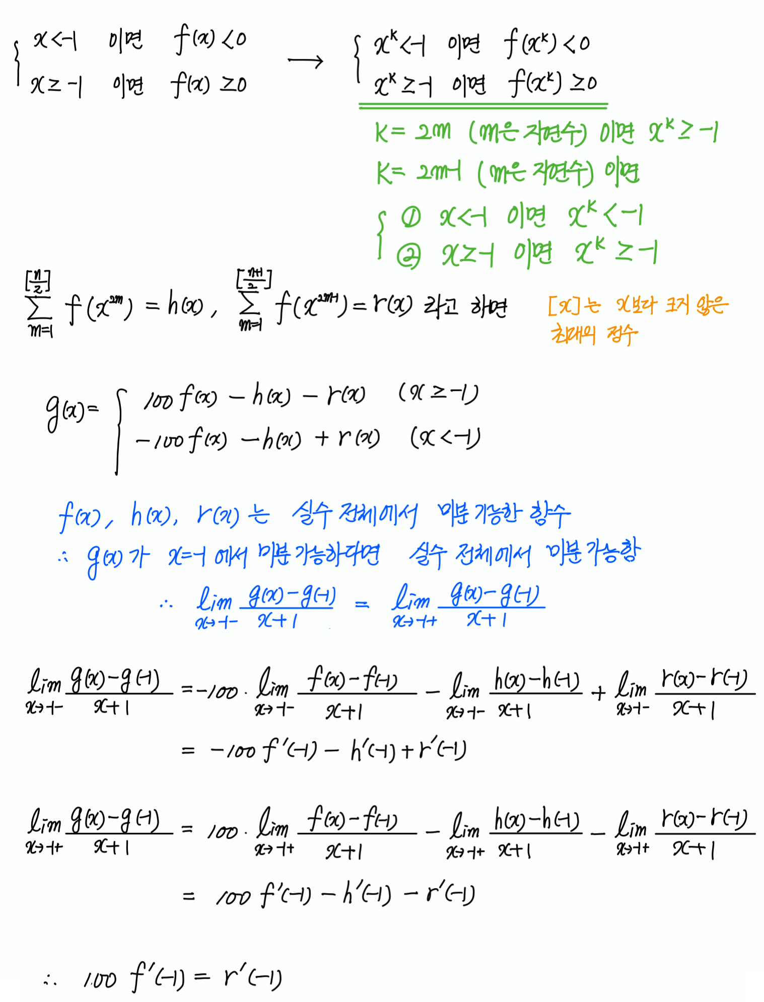
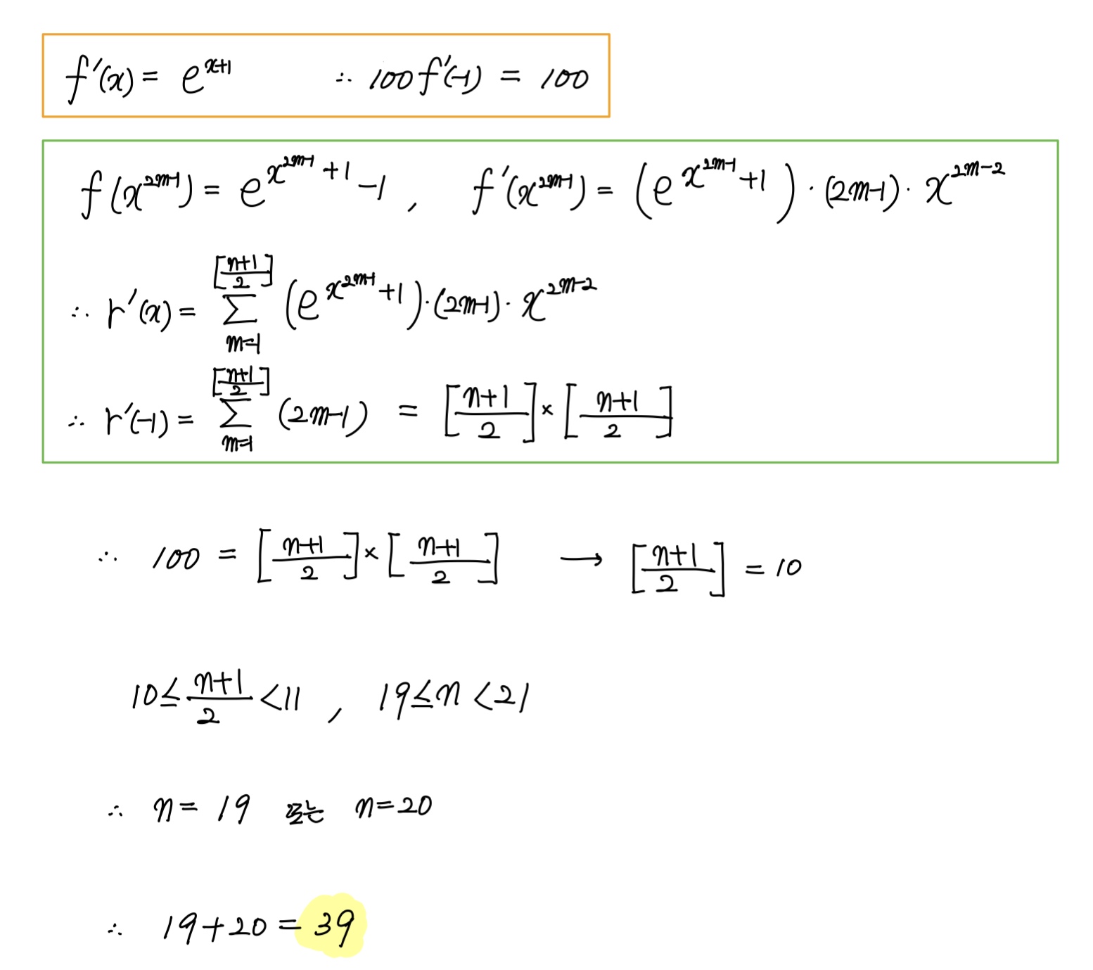
함수 $f(x)=e^{x+1}-1$ 과 자연수 $n$ 에 대하여 함수 $g(x)$ 를 $$g(x) = 100|f(x)| - \sum \limits_{k=1}^n \left | f \left ( x^k \right ) \right |$$ 이라 하자. $g(x)$ 가 실수 전체의 집합에서 미분가능하도록 하는 모든 자연수 $n$ 의 값의 합을 구하시오.
더보기


정답 39


Comments