| 일 | 월 | 화 | 수 | 목 | 금 | 토 |
|---|---|---|---|---|---|---|
| 1 | 2 | 3 | 4 | |||
| 5 | 6 | 7 | 8 | 9 | 10 | 11 |
| 12 | 13 | 14 | 15 | 16 | 17 | 18 |
| 19 | 20 | 21 | 22 | 23 | 24 | 25 |
| 26 | 27 | 28 | 29 | 30 |
Tags
- 로그함수의 그래프
- 수학질문답변
- 함수의 그래프와 미분
- 도형과 무한등비급수
- 여러 가지 수열
- 이차곡선
- 행렬과 그래프
- 심화미적
- 함수의 연속
- 수악중독
- 수학질문
- 미적분과 통계기본
- 접선의 방정식
- 경우의 수
- 수능저격
- 적분과 통계
- 확률
- 적분
- 수열
- 중복조합
- 함수의 극한
- 미분
- 정적분
- 행렬
- 수학2
- 수열의 극한
- 기하와 벡터
- 수만휘 교과서
- 이정근
- 수학1
Archives
- Today
- Total
수악중독
유리함수의 그래프_난이도 하 (2024년 3월 전국연합 고2 8번) 본문
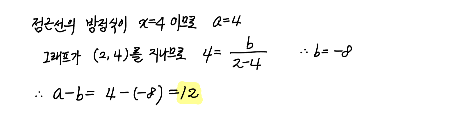
함수 $y=\dfrac{b}{x-a}$ 의 그래프가 점 $(2, \; 4)$ 를 지나고 한 점근선의 방정식이 $x=4$ 일 때, $a-b$ 의 값은? (단, $a, \; b$ 는 상수이다.)
① $6$ ② $8$ ③ $10$ ④ $12$ ⑤ $14$
더보기

정답 ④

Comments