| 일 | 월 | 화 | 수 | 목 | 금 | 토 |
|---|---|---|---|---|---|---|
| 1 | 2 | 3 | 4 | 5 | 6 | |
| 7 | 8 | 9 | 10 | 11 | 12 | 13 |
| 14 | 15 | 16 | 17 | 18 | 19 | 20 |
| 21 | 22 | 23 | 24 | 25 | 26 | 27 |
| 28 | 29 | 30 | 31 |
Tags
- 도형과 무한등비급수
- 함수의 극한
- 미분
- 로그함수의 그래프
- 수학1
- 여러 가지 수열
- 수열
- 이차곡선
- 경우의 수
- 함수의 그래프와 미분
- 심화미적
- 미적분과 통계기본
- 접선의 방정식
- 정적분
- 수학질문
- 중복조합
- 수학2
- 적분
- 수악중독
- 확률
- 행렬과 그래프
- 수학질문답변
- 이정근
- 행렬
- 수열의 극한
- 기하와 벡터
- 수능저격
- 수만휘 교과서
- 적분과 통계
- 함수의 연속
Archives
- Today
- Total
수악중독
미적분과 통계기본_정적분_난이도 하 본문
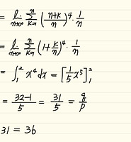
그림과 같이 삼차함수 \(y=f(x)\) 가 \(f(-1)=f(1)=f(2)=0,\; f(0)=2\) 를 만족시킬 때, \(\displaystyle \int_0^2 f'(x) dx\) 의 값은?
① \(-2\) ② \(-1\) ③ \(0\) ④ \(1\) ⑤ \(2\)
Comments