| 일 | 월 | 화 | 수 | 목 | 금 | 토 |
|---|---|---|---|---|---|---|
| 1 | 2 | 3 | 4 | 5 | 6 | |
| 7 | 8 | 9 | 10 | 11 | 12 | 13 |
| 14 | 15 | 16 | 17 | 18 | 19 | 20 |
| 21 | 22 | 23 | 24 | 25 | 26 | 27 |
| 28 | 29 | 30 | 31 |
Tags
- 행렬과 그래프
- 함수의 극한
- 수학질문답변
- 접선의 방정식
- 확률
- 수학질문
- 미분
- 도형과 무한등비급수
- 기하와 벡터
- 수능저격
- 적분과 통계
- 미적분과 통계기본
- 심화미적
- 수악중독
- 경우의 수
- 여러 가지 수열
- 수학2
- 중복조합
- 행렬
- 수학1
- 적분
- 정적분
- 이정근
- 함수의 연속
- 함수의 그래프와 미분
- 수만휘 교과서
- 수열
- 이차곡선
- 수열의 극한
- 로그함수의 그래프
Archives
- Today
- Total
수악중독
미적분과 통계기본_적분_주기함수의 정적분_난이도 하 본문
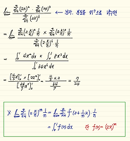
함수 \(f(x)\) 는 다음 두 조건을 만족한다.
(가) \(-2 \leq x \leq 2\) 일 때, \(f(x)=x^3-4x\)
(나) 임의의 실수 \(x\) 에 대하여 \(f(x)=f(x+4)\)
정적분 \(\displaystyle \int_{1}^{2} f(x) dx\) 와 같은 것은?
① \(\displaystyle \int_{2004}^{2005} f(x) dx\) ② \(-\displaystyle \int_{2004}^{2005} f(x) dx\) ③ \(\displaystyle \int_{2005}^{2006} f(x) dx\)
④ \(-\displaystyle \int_{2005}^{2006} f(x) dx\) ⑤ \(\displaystyle \int_{2006}^{2007} f(x) dx\)
Comments