| 일 | 월 | 화 | 수 | 목 | 금 | 토 |
|---|---|---|---|---|---|---|
| 1 | 2 | 3 | 4 | 5 | 6 | 7 |
| 8 | 9 | 10 | 11 | 12 | 13 | 14 |
| 15 | 16 | 17 | 18 | 19 | 20 | 21 |
| 22 | 23 | 24 | 25 | 26 | 27 | 28 |
| 29 | 30 | 31 |
Tags
- 수악중독
- 수학1
- 접선의 방정식
- 수열
- 함수의 극한
- 수학질문
- 적분
- 적분과 통계
- 이차곡선
- 미분
- 심화미적
- 수학질문답변
- 중복조합
- 도형과 무한등비급수
- 행렬과 그래프
- 수만휘 교과서
- 수능저격
- 행렬
- 수열의 극한
- 기하와 벡터
- 수학2
- 정적분
- 경우의 수
- 여러 가지 수열
- 미적분과 통계기본
- 로그함수의 그래프
- 함수의 연속
- 이정근
- 함수의 그래프와 미분
- 확률
Archives
- Today
- Total
수악중독
미적분과 통계기본_두 함수 곱의 연속_난이도 중 본문
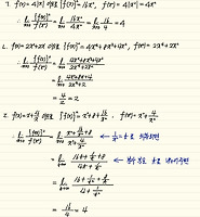
함수 \[f\left( x \right) = \left\{ {\begin{array}{ll}{x + 1}&{\left( {x \le 0} \right)}\\{ - \dfrac{1}{2}x + 7}&{\left( {x > 0} \right)}\end{array}} \right.\] 에 대하여 함수 \(f(x)f(x-a)\) 가 \(x=a\) 에서 연속이 되도록 하는 모든 실수 \(a\) 의 값의 합을 구하시오.
Comments