| 일 | 월 | 화 | 수 | 목 | 금 | 토 |
|---|---|---|---|---|---|---|
| 1 | ||||||
| 2 | 3 | 4 | 5 | 6 | 7 | 8 |
| 9 | 10 | 11 | 12 | 13 | 14 | 15 |
| 16 | 17 | 18 | 19 | 20 | 21 | 22 |
| 23 | 24 | 25 | 26 | 27 | 28 | 29 |
| 30 |
Tags
- 접선의 방정식
- 미적분과 통계기본
- 적분
- 로그함수의 그래프
- 함수의 극한
- 함수의 그래프와 미분
- 수열의 극한
- 수학1
- 수학질문답변
- 이정근
- 수학질문
- 여러 가지 수열
- 수열
- 수악중독
- 수학2
- 경우의 수
- 확률
- 중복조합
- 기하와 벡터
- 심화미적
- 정적분
- 행렬
- 도형과 무한등비급수
- 행렬과 그래프
- 함수의 연속
- 적분과 통계
- 수만휘 교과서
- 미분
- 수능저격
- 이차곡선
Archives
- Today
- Total
수악중독
수학2_함수의 극한_극한의 활용_난이도 중 본문
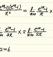
그림과 같이 두 곡선 \(y=ax^2 \; (a>0),\;\; y= \ln (2x+1)\) 이 제\(1\)사분면에서 만나는 점을 \(\rm A\) 라 하자. 원점 \(\rm O\) 와 두 점 \({\rm B} (1, \;0), \; {\rm C}(0,\;1) \) 에 대하여 삼각형 \(\rm OAB\) 의 넓이를 \(S_1\), 삼각형 \(\rm OAC\) 의 넓이를 \(S_2\) 라 하자. \(a\) 의 값이 한없이 커질 때, \(\dfrac{S_1}{S_2}\) 의 값은 \(\alpha\) 에 한없이 가까워진다. \(\alpha\) 의 값은?
① \(\dfrac{1}{e}\) ② \(\dfrac{1}{2}\) ③ \(1\) ④ \(2\) ⑤ \(e\)
Comments