| 일 | 월 | 화 | 수 | 목 | 금 | 토 |
|---|---|---|---|---|---|---|
| 1 | ||||||
| 2 | 3 | 4 | 5 | 6 | 7 | 8 |
| 9 | 10 | 11 | 12 | 13 | 14 | 15 |
| 16 | 17 | 18 | 19 | 20 | 21 | 22 |
| 23 | 24 | 25 | 26 | 27 | 28 | 29 |
| 30 |
- 수학1
- 수열의 극한
- 정적분
- 접선의 방정식
- 수학2
- 로그함수의 그래프
- 적분과 통계
- 도형과 무한등비급수
- 수만휘 교과서
- 적분
- 확률
- 수학질문답변
- 수악중독
- 행렬
- 이차곡선
- 함수의 극한
- 미분
- 여러 가지 수열
- 경우의 수
- 기하와 벡터
- 중복조합
- 미적분과 통계기본
- 수능저격
- 이정근
- 함수의 연속
- 수학질문
- 수열
- 심화미적
- 함수의 그래프와 미분
- 행렬과 그래프
- Today
- Total
목록미분의 활용 (18)
수악중독
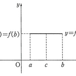
접선의 방정식 롤의 정리 (Rolle's Theorem) 함수 $f(x)$ 가 닫힌 구간 $[a, \; b]$ 에서 연속이고 열린 구간 $(a, \; b)$ 에서 미분가능할 때, $ f(a)=f(b)$ 이면 $f'(c)=0$ 인 $c$ 가 열린 구간 $(a, \; b)$ 안에 적어도 하나 존재한다. (1) 함수 $f(x)$ 가 상수함수인 경우 $f(x)=k$ ($k$ 는 상수) 이면 $f'(x)=0$ 이다. 따라서 열린 구간 $(a, \; b)$ 에 속하는 모든 $x$ 에 대하여 $f'(x)=0$ 이고, 이는 곧 $f'(c)=0$ 인 $c$ 가 열린 구간 $(a, \; b)$ 에 반드시 존재함을 의미한다. (2) 함수 $f(x)$ 가 상수함수가 아닌 경우 이 경우 함수 $f(x)$ 는 최대최소의 정리로부..
한 변의 길이가 \(12\sqrt{3}\) 인 정삼각형과 그 정삼각형에 내접하는 원으로 이루어진 도형이 있다. 이 도형에서 정삼각형의 각 변의 길이가 매초 \(3\sqrt{3}\) 씩 늘어남에 따라 원도 정삼각형에 내접하면서 반지름의 길이가 늘어난다. 정삼각형의 한 변의 길이가 \(24\sqrt{3}\) 이 되는 순간, 정삼각형에 내접하는 원의 넓이의 시간(초)에 대한 변화율이 \(a \pi\) 이다. 이때, 상수 \(a\) 의 값을 구하시오. 정답 \(36\)
자연수 \(k\) 에 대하여 삼차방정식 \(x^3-12x+22-4k=0\) 의 양의 실근의 개수를 \(f(k)\) 라 하자. \( \sum \limits_{k=1}^{10} f(k)\) 의 값을 구하시오. 정답 \(13\)
함수 \( f(x)=x(x+1)(x-4)\) 에 대하여 직선 \( y=5x+k\) 와 함수 \( y=f(x)\) 의 그래프가 서로 다른 두 점에서 만날 때, 양수 \(k\) 의 값은? ① \(5\) ② \(\dfrac{11}{2}\) ③ \(6\) ④ \(\dfrac{13}{2}\) ⑤ \(7\) 정답 ①
그림과 가이 함수 \(f(x)=1-e^{-x}\) 에 대하여 곡선 \(y=f(x)\) 위의 원점 \(\rm O\) 에서의 접선이 직선 \(y=1\) 과 만나는 점을 \(\rm P_1\) 이라 하자. 점 \(\rm P_1\) 을 지나고 \(y\) 축에 평행한 직선이 곡선 \(y=f(x)\) 와 만나는 점을 \(\rm Q_1\), 점 \(\rm Q_1\) 에서의 접선이 직선 \(y=1\) 과 만나는 점을 \(\rm P_2\) 라 하자. 이와 같은 과정을 계속하여 점 \(\rm P_{\it n}\) 을 지나고 \(y\) 축에 평행한 직선이 곡선 \(y=f(x)\) 와 만나는 점을 \(\rm Q_{\it n}\), 점 \(\rm Q_{\it n}\) 에서의 접선이 직선 \(y=1\) 과 만나는 점을 \(\rm ..
그림과 같이 함수 \(y=\ln x+4, \;\; y=e^{x-4}\) 의 그래프의 두 교점의 \(x\) 좌표를 각각 \(a,\;b\) 라 하자. 일차함수 \(y=-x+k\) 의 그래프가 \(a\leq x \leq b\) 에서 두 함수의 그래프와 만나는 점 사이의 거리가 최대가 될 떄, 상수 \(k\) 의 값은? ① \(\dfrac{7}{2}\) ② \(4\) ③ \(\dfrac{9}{2}\) ④ \(5\) ⑤ \(\dfrac{11}{2}\) 정답 ④
곡선 \(y=-\ln (x-1)\) 을 \(y\) 축의 양의 방향으로 \(k\) 만큼 평행이동시키면 곡선 \(y=\ln (2x+1)+1\) 과 직교한다고 한다. 이때, 다음 중 \(k\) 의 값이 속하는 구간은? (단, 두 곡선이 직교한다는 것은 교점에서의 두 접선이 직교한다는 것을 뜻한다.) ① \(-2
그림과 같이 좌표평면에서 곡선 \(y=x^2\) 위의 서로 다른 두 점 \(\rm P, \;Q\) 에 대하여 점 \(\rm P\) 를 지나고 점 \(\rm P\) 에서의 접선에 수직인 직선과 점 \(\rm Q\) 를 지나고 점 \(\rm Q\) 에서의 접선에 수직인 직선의 교점을 \(\rm R\) 라 하자. 점 \(\rm P\) 의 좌표가 \((1, \;1)\) 이고 점 \(\rm Q\) 가 곡선 \(y=x^2\) 을 따라 점 \(\rm P\) 에 한없이 가까워 질 때, \(\overline {\rm PR}\) 의 길이의 극한값은? ① \(\dfrac{3\sqrt{5}}{2}\) ② \(2\sqrt{5}\) ③ \(\dfrac{5\sqrt{5}}{2}\) ④ \(3\sqrt{5}\) ⑤ \(\dfrac{..
함수 \(f(x)=x^2 (x-6)\) 이 \(0\leq x \leq 6\) 인 임의의 실수 \(x\) 에 대하여 \(f(x) \geq f'(a)(x-a)+f(a)\) 를 만족시킬 때, 실수 \(a\) 의 최솟값을 구하시오. 정답 \(3\)