| 일 | 월 | 화 | 수 | 목 | 금 | 토 |
|---|---|---|---|---|---|---|
| 1 | 2 | 3 | 4 | 5 | 6 | 7 |
| 8 | 9 | 10 | 11 | 12 | 13 | 14 |
| 15 | 16 | 17 | 18 | 19 | 20 | 21 |
| 22 | 23 | 24 | 25 | 26 | 27 | 28 |
| 29 | 30 | 31 |
Tags
- 정적분
- 경우의 수
- 적분과 통계
- 수만휘 교과서
- 여러 가지 수열
- 도형과 무한등비급수
- 기하와 벡터
- 수학2
- 미분
- 이차곡선
- 수학질문
- 로그함수의 그래프
- 함수의 극한
- 수열의 극한
- 행렬
- 수열
- 수악중독
- 이정근
- 수학질문답변
- 중복조합
- 심화미적
- 확률
- 수학1
- 접선의 방정식
- 함수의 그래프와 미분
- 수능저격
- 함수의 연속
- 적분
- 행렬과 그래프
- 미적분과 통계기본
Archives
- Today
- Total
수악중독
표본평균의 분포&평균과 분산의 성질_난이도 중 (2024년 11월 수능 확통 27번) 본문
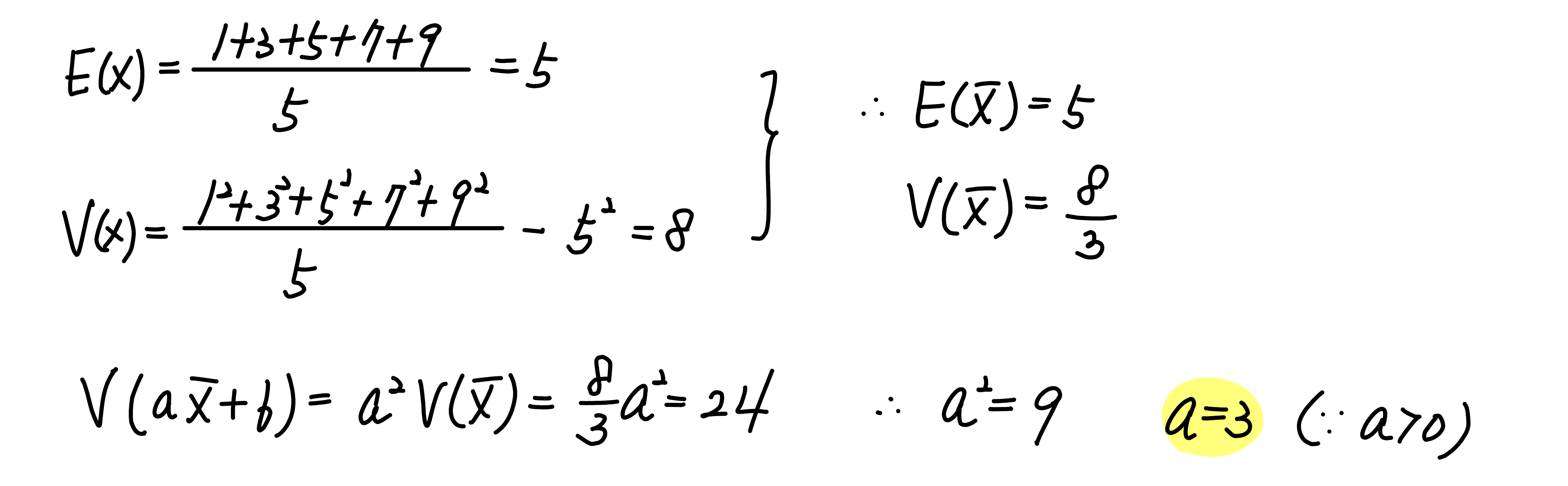
숫자 $1, \; 3, \; 5, \; 7, \; 9$ 가 각각 하나씩 적혀 있는 $5$ 장의 카드가 들어 있는 주머니가 있다. 이 주머니에서 임의로 $1$ 장의 카드를 꺼내어 카드에 적혀 있는 수를 확인한 후 다시 넣는 시행을 한다. 이 시행을 $3$ 번 반복하여 확인한 세 개의 수의 평균을 $\overline{X}$ 라 하자. $\mathrm{V} \left ( a \overline{X}+6 \right )=24$ 일 때, 양수 $a$ 의 값은?
① $1$ ② $2$ ③ $3$ ④ $4$ ⑤ $5$

더보기

정답 ③

Comments