관리 메뉴


수악중독

로그의 성질_난이도 하 (2024년 10월 전국연합 고3 9번) 본문

수학1- 문제풀이/지수함수와 로그함수

로그의 성질_난이도 하 (2024년 10월 전국연합 고3 9번)

수악중독 2024. 10. 15. 17:36

 

 

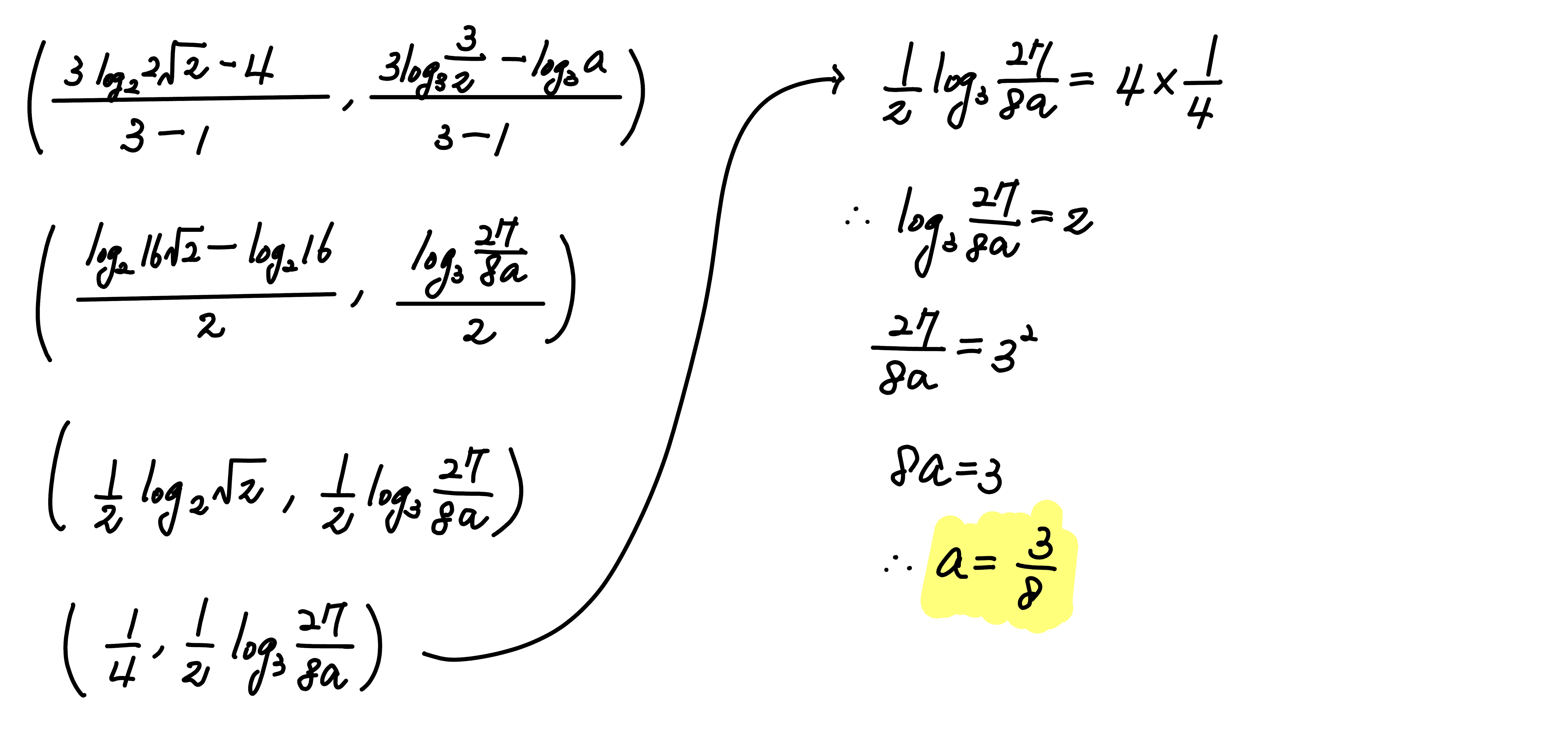
좌표평면 위에 두 점 $\mathrm{A}(4, \; \log_3 a)$, $\mathrm{B} \left (\log_2 2\sqrt{2}, \; \log_3 \dfrac{3}{2} \right )$ 이 있다. 선분 $\mathrm{AB}$ 를 $3:1$ 로 외분하는 점이 직선 $y=4x$ 위에 있을 때, 양수 $a$ 의 값은?

 

① $\dfrac{3}{8}$          ② $\dfrac{7}{16}$          ③ $\dfrac{1}{2}$          ④ $\dfrac{9}{16}$          ⑤ $\dfrac{5}{8}$

 

더보기

정답 ①

Comments