| 일 | 월 | 화 | 수 | 목 | 금 | 토 |
|---|---|---|---|---|---|---|
| 1 | 2 | 3 | 4 | 5 | 6 | |
| 7 | 8 | 9 | 10 | 11 | 12 | 13 |
| 14 | 15 | 16 | 17 | 18 | 19 | 20 |
| 21 | 22 | 23 | 24 | 25 | 26 | 27 |
| 28 | 29 | 30 | 31 |
Tags
- 기하와 벡터
- 수열의 극한
- 수악중독
- 수학1
- 수학2
- 수열
- 수능저격
- 함수의 연속
- 중복조합
- 확률
- 수만휘 교과서
- 수학질문답변
- 경우의 수
- 수학질문
- 접선의 방정식
- 이정근
- 함수의 극한
- 행렬과 그래프
- 도형과 무한등비급수
- 정적분
- 여러 가지 수열
- 행렬
- 미분
- 적분
- 미적분과 통계기본
- 이차곡선
- 심화미적
- 로그함수의 그래프
- 적분과 통계
- 함수의 그래프와 미분
Archives
- Today
- Total
수악중독
무한대/무한대 꼴의 극한_난이도 하 (2024년 3월 전국연합 고3 미적분 26번) 본문
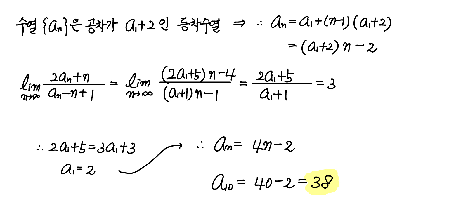
수열 $\{a_n\}$ 이 모든 자연수 $n$ 에 대하여 $$a_{n+1}-a_n = a_1 +2$$ 를 만족시킨다. $\lim \limits_{n \to \infty}\dfrac{2a_n+n}{a_n -n +1}=3$ 일 때, $a_{10}$ 의 값은? (단, $a_1 >0$)
① $35$ ② $36$ ③ $37$ ④ $38$ ⑤ $39$
더보기

정답 ④

Comments