| 일 | 월 | 화 | 수 | 목 | 금 | 토 |
|---|---|---|---|---|---|---|
| 1 | 2 | 3 | 4 | 5 | 6 | 7 |
| 8 | 9 | 10 | 11 | 12 | 13 | 14 |
| 15 | 16 | 17 | 18 | 19 | 20 | 21 |
| 22 | 23 | 24 | 25 | 26 | 27 | 28 |
| 29 | 30 | 31 |
Tags
- 기하와 벡터
- 적분
- 수악중독
- 미분
- 미적분과 통계기본
- 함수의 연속
- 함수의 그래프와 미분
- 중복조합
- 수만휘 교과서
- 수열
- 로그함수의 그래프
- 이정근
- 함수의 극한
- 여러 가지 수열
- 수능저격
- 수학2
- 적분과 통계
- 수열의 극한
- 수학질문답변
- 정적분
- 심화미적
- 행렬과 그래프
- 수학1
- 확률
- 수학질문
- 경우의 수
- 행렬
- 이차곡선
- 접선의 방정식
- 도형과 무한등비급수
Archives
- Today
- Total
수악중독
삼각함수의 그래프_난이도 중 (2021년 9월 평가원 고3 10번) 본문
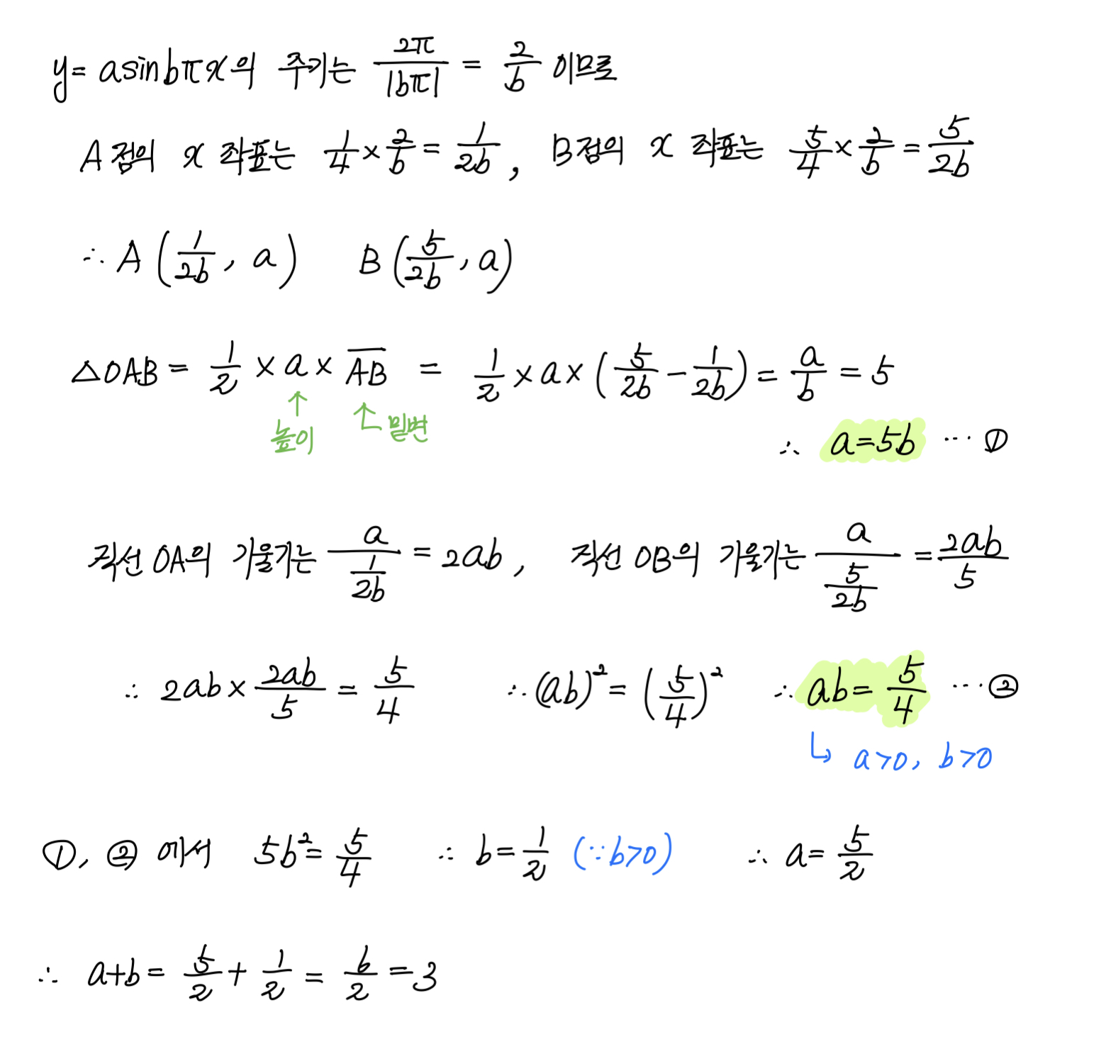
두 양수 $a, \; b$ 에 대하여 곡선 $y=a \sin b \pi x \; \left ( 0 \le x \le \dfrac{3}{b} \right )$ 이 직선 $y=a$ 와 만나는 서로 다른 두 점을 $\rm A, \; B$ 라 하자. 삼각형 $\rm OAB$ 이 넓이가 $5$ 이고 직선 $\rm OA$ 의 기울기와 직선 $\rm OB$ 의 기울기의 곱이 $\dfrac{5}{4}$ 일 때, $a+b$ 의 값은? (단, $\rm O$ 는 원점이다.)
① $1$ ② $2$ ③ $3$ ④ $4$ ⑤ $5$

더보기

정답 ③

Comments