| 일 | 월 | 화 | 수 | 목 | 금 | 토 |
|---|---|---|---|---|---|---|
| 1 | 2 | 3 | 4 | 5 | 6 | 7 |
| 8 | 9 | 10 | 11 | 12 | 13 | 14 |
| 15 | 16 | 17 | 18 | 19 | 20 | 21 |
| 22 | 23 | 24 | 25 | 26 | 27 | 28 |
| 29 | 30 | 31 |
Tags
- 여러 가지 수열
- 수열의 극한
- 이정근
- 도형과 무한등비급수
- 수학질문답변
- 경우의 수
- 미적분과 통계기본
- 수열
- 이차곡선
- 심화미적
- 수능저격
- 수학2
- 행렬과 그래프
- 수학질문
- 수학1
- 로그함수의 그래프
- 함수의 극한
- 정적분
- 수악중독
- 접선의 방정식
- 함수의 연속
- 행렬
- 적분
- 기하와 벡터
- 미분
- 중복조합
- 적분과 통계
- 수만휘 교과서
- 확률
- 함수의 그래프와 미분
Archives
- Today
- Total
수악중독
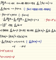
미적분과 통계기본_함수의 극한 및 연속_함수의 연속_연속의 조건_난이도 중 본문
함수 \(f\left( x \right) = \left\{ {\begin{array}{cl} {\dfrac{{\left| {{x^2} - a} \right| + \left| {2x - b} \right|}}{{x - 1}}}&{\left( {x > 1} \right)}\\ { - x + c}&{\left( {x \le 1} \right)} \end{array}}\right.\) 가 \(x=1\) 에서 연속일 때, 상수 \(a,\; b,\; c\) 의 값은?
① \(5\) ② \(6\) ③ \(7\) ④ \(8\) ⑤ \(9\)
Comments