| 일 | 월 | 화 | 수 | 목 | 금 | 토 |
|---|---|---|---|---|---|---|
| 1 | 2 | 3 | 4 | 5 | 6 | 7 |
| 8 | 9 | 10 | 11 | 12 | 13 | 14 |
| 15 | 16 | 17 | 18 | 19 | 20 | 21 |
| 22 | 23 | 24 | 25 | 26 | 27 | 28 |
| 29 | 30 | 31 |
Tags
- 로그함수의 그래프
- 적분과 통계
- 함수의 연속
- 수학1
- 행렬과 그래프
- 수열
- 함수의 그래프와 미분
- 수만휘 교과서
- 수학2
- 기하와 벡터
- 중복조합
- 경우의 수
- 여러 가지 수열
- 수학질문
- 이정근
- 확률
- 함수의 극한
- 적분
- 수능저격
- 수열의 극한
- 미적분과 통계기본
- 수악중독
- 행렬
- 미분
- 정적분
- 접선의 방정식
- 이차곡선
- 도형과 무한등비급수
- 수학질문답변
- 심화미적
Archives
- Today
- Total
수악중독
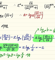
수학1_로그함수_로그함수의 그래프_난이도 중 본문
함수 \(y=\dfrac{2x+1}{x+3}\) 이 점근선 중 \(y\) 축에 평행한 점근선을 \(l\) 이라 하자. 함수 \(y=\log_{\frac{1}{3}} | x+m | +n \) 의 그래프가 점 \((6,\;3)\) 을 지나고 직선 \(l\) 에 대하여 대칭일 때, 두 상수 \(m,\;n\) 의 합 \(m+n\) 의 값을 구하시오.
Comments