| 일 | 월 | 화 | 수 | 목 | 금 | 토 |
|---|---|---|---|---|---|---|
| 1 | ||||||
| 2 | 3 | 4 | 5 | 6 | 7 | 8 |
| 9 | 10 | 11 | 12 | 13 | 14 | 15 |
| 16 | 17 | 18 | 19 | 20 | 21 | 22 |
| 23 | 24 | 25 | 26 | 27 | 28 | 29 |
| 30 |
Tags
- 함수의 그래프와 미분
- 수열
- 수열의 극한
- 심화미적
- 행렬과 그래프
- 수학2
- 도형과 무한등비급수
- 수능저격
- 수악중독
- 수학질문
- 함수의 극한
- 행렬
- 이정근
- 수학1
- 여러 가지 수열
- 로그함수의 그래프
- 미분
- 함수의 연속
- 이차곡선
- 중복조합
- 미적분과 통계기본
- 기하와 벡터
- 확률
- 경우의 수
- 수만휘 교과서
- 적분
- 적분과 통계
- 정적분
- 수학질문답변
- 접선의 방정식
Archives
- Today
- Total
수악중독
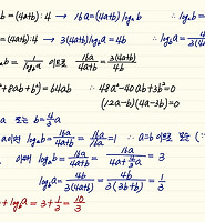
수학1_로그와 로그함수_상용로그의 지표_난이도 중 본문
상용로그 \(\log 2x ,\; \log 4x,\; \log 6x,\; \log 8x,\; \log 10x\) 의 지표의 합이 \(12\) 가 되도록 하는 모든 자연수 \(x\) 의 개수를 구하시오.
Comments