| 일 | 월 | 화 | 수 | 목 | 금 | 토 |
|---|---|---|---|---|---|---|
| 1 | 2 | 3 | ||||
| 4 | 5 | 6 | 7 | 8 | 9 | 10 |
| 11 | 12 | 13 | 14 | 15 | 16 | 17 |
| 18 | 19 | 20 | 21 | 22 | 23 | 24 |
| 25 | 26 | 27 | 28 | 29 | 30 | 31 |
- 기하와 벡터
- 수학1
- 이정근
- 수학2
- 이차곡선
- 미분
- 수학질문답변
- 심화미적
- 수학질문
- 함수의 연속
- 접선의 방정식
- 수악중독
- 적분과 통계
- 도형과 무한등비급수
- 수열
- 확률
- 수열의 극한
- 경우의 수
- 적분
- 정적분
- 미적분과 통계기본
- 함수의 그래프와 미분
- 행렬과 그래프
- 함수의 극한
- 중복조합
- 수능저격
- 여러 가지 수열
- 로그함수의 그래프
- 행렬
- 수만휘 교과서
- Today
- Total
목록역함수의 미분계수 (5)
수악중독
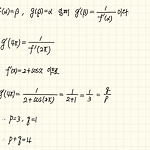
함수 $f(x)=2x+ \sin x$ 의 역함수를 $g(x)$ 라 할 때, 곡선 $y=g(x)$ 위의 점 $(4 \pi, \; 2 \pi)$ 에서의 접선의 기울기는 $\dfrac{q}{p}$ 이다. $p+q$ 의 값을 구하시오. (단, $p$ 와 $q$ 는 서로소인 자연수이다.) 정답 $4$
미분가능한 함수 $f(x)$ 와 $f(x)$ 의 역함수 $g(x)$ 가 $g \left ( 3f(x)-\dfrac{2}{e^x+e^{2x}} \right) = x$ 를 만족시킬 때, 다음은 $g' \left ( \dfrac{1}{2} \right )$ 의 값을 구하는 과정이다. $g \left ( 3f(x)-\dfrac{2}{e^x +e^{2x}} \right ) =x$ 에서$3f(x)-\dfrac{2}{e^x+e^{2x}} = g^{-1}(x)$ 이므로 $f(x)=\dfrac{1}{(가)}$이다.$f(x)$ 의 도함수를 구하면 $f'(x)=\dfrac{-e^x-2e^{2x}}{(가)^2}$이다. $f(0)=\dfrac{1}{2}$ 이므로 $g \left (\dfrac{1}{2} \right ) = 0$..
닫힌구간 \([0, \;4]\) 에서 정의되고, 열린구간 \((0, \;4)\) 에서 미분 가능한 함수 \(y=f(x)\) 의 그래프와 직선 \(y=x\) 가 그림과 같다. \(f(2)=2,\;\;f(3)=3,\;\;f'(2)=1\) 이고, 함수 \(f(x)\) 의 역함수 \(f^{-1}(x)\) 가 열린구간 \((0,\;4)\) 에서 미분 가능할 때, 옳은 것만을 보기에서 있는 대로 고른 것은? (단, \(f'(x)\) 는 열린구간 \((0,\;4)\) 에서 증가한다.) ㄱ. \(\left ( f^{-1} \right )'(1)=1\) ㄴ. \(f'(3) \cdot \left (f^{-1} \right )'(3)=1\) ㄷ. 열린구간 \((0,\;4)\) 에서 \(f'(x) \cdot \left (f^..
양의 실수 전체의 집합을 정의역으로 하는 함수 \[f(x)=\dfrac{1}{27} \left ( x^4 -6x^3 +12x^2 +19x \right ) \] 에 대하여 \(f(x)\) 의 역함수를 \(g(x)\) 라 하자. 에서 옳은 것만을 있는 대로 고른 것은? ㄱ. 점 \((2, \;2)\) 는 곡선 \(y=f(x)\) 의 변곡점이다. ㄴ. 방정식 \(f(x)=x\) 의 실근 중 양수인 것은 \(x=2\) 하나뿐이다. ㄷ. 함수 \(|f(x)-g(x)|\) 는 \(x=2\) 에서 미분가능하다. ① ㄱ ② ㄴ ③ ㄱ, ㄴ ④ ㄱ, ㄷ ⑤ ㄱ, ㄴ, ㄷ 정답 ⑤
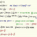
\(-\dfrac{\pi}{2} < x < \dfrac{\pi}{2} \) 에서 정의된 함수 \(f(x)\) 와 도함수 \(f'(x)\) 가 \[f(0)=0, \; f'(x)=1+\{ f(x) \}^2 \] 을 만족시킨다. 함수 \(f(x)\) 의 역함수를 \(g(x)\) 라 할 때, \(g'(1) \times g(1)\) 의 값은? ① \(\dfrac{\pi}{10}\) ② \(\dfrac{\pi}{8}\) ③ \(\dfrac{\pi}{6}\) ④ \(\dfrac{\pi}{4}\) ⑤ \(\dfrac{\pi}{2}\) 정답 ②