| 일 | 월 | 화 | 수 | 목 | 금 | 토 |
|---|---|---|---|---|---|---|
| 1 | ||||||
| 2 | 3 | 4 | 5 | 6 | 7 | 8 |
| 9 | 10 | 11 | 12 | 13 | 14 | 15 |
| 16 | 17 | 18 | 19 | 20 | 21 | 22 |
| 23 | 24 | 25 | 26 | 27 | 28 | 29 |
| 30 |
- 이정근
- 수열
- 행렬
- 미적분과 통계기본
- 미분
- 행렬과 그래프
- 수학질문답변
- 정적분
- 적분과 통계
- 기하와 벡터
- 경우의 수
- 함수의 그래프와 미분
- 수학질문
- 심화미적
- 접선의 방정식
- 로그함수의 그래프
- 도형과 무한등비급수
- 수만휘 교과서
- 수학2
- 함수의 극한
- 함수의 연속
- 수악중독
- 수열의 극한
- 수학1
- 이차곡선
- 여러 가지 수열
- 확률
- 중복조합
- 수능저격
- 적분
- Today
- Total
목록무한급수 (25)
수악중독
무한수열 \(a_1 ,\; 2a_2 ,\; 2^2 a_3 , \; \cdots , \; 2^{n-1} a_n ,\; \cdots\) 의 첫째항부터 제 \(n\) 항까지의 합이 \(5n\) 일 때, \(\sum \limits_{n=1}^{\infty} a_n\) 의 값을 구하시오. 정답 10
임의의 자연수 \(p,\;q,\;r\) 에 대하여 수열 \(\{a_n\}\) 은 \(a_1 =10,\;\; a_p +a_q +a_r =a_{p+q+r}\) 를 만족하고, 수열 \(\{b_n\}\) 은 \(b_1 = \dfrac{3}{5},\;\; b_p b_q = b_{p+q}\) 를 만족한다. 이때, \(\sum \limits _{n=1}^{\infty} \dfrac{a_n b_n}{n}\) 의 값을 구하시오. 정답 15
그림과 같이 원점 \(\rm O\) 와 점 \(2,\; 0)\) 을 지름의 양 끝으로 하는 원을 \(\rm C_1\) 이라 하자. 또, 원 \(\rm C_1\) 과 직선 \(y=x\) 가 만나는 두 점을 지름의 양 끝으로 하는 원을 \(\rm C_2\), 원 \(\rm C_2\) 와 \(y\) 축이 만나는 두 점을 지름의 양 끝으로 하는 원을 \(\rm C_3\) 이라 하자. 또 원, \(\rm C_3\) 과 직선 \(y=-x\) 가 만나는 두 점을 지름의 양 끝으로 하는 원을 \(\rm C_4\), 원 \(\rm C_4\) 와 \(x\) 축이 만나는 두 점을 지름의 양 끝으로 하는 원을 \(\rm C_5\) 라 하자. 이와 같은 방법으로 중심이 차례로 직선 \(y=x\) , \(y\) 축, 직선 \(y..
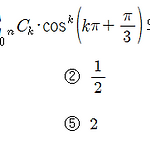
\(\sum \limits _{n=0}^{\infty} \sum \limits _{k=0}^{n} {_n {\rm C} _k} \cdot \cos ^k \left (k \pi +{\dfrac{\pi}{3}} \right )\) 의 값은? ① \(\dfrac{1}{4}\) ② \(\dfrac{1}{2}\) ③ \(1\) ④ \(\dfrac{3}{2}\) ⑤ \(2\) 정답 ⑤
다음 무한급수의 합을 구하면?\[\frac{3}{{1 - {3^2}}} + \frac{{{3^2}}}{{1 - {3^4}}} + \frac{{{3^4}}}{{1 - {3^8}}} + \cdots + \frac{{{3^{{2^{n - 1}}}}}}{{1 - {3^{{2^n}}}}} + \cdots \]① \(-1\) ② \(-\dfrac{1}{2}\) ③ \(0\) ④ \(\dfrac{1}{2}\) ⑤ \(1\) 정답 ②