| 일 | 월 | 화 | 수 | 목 | 금 | 토 |
|---|---|---|---|---|---|---|
| 1 | ||||||
| 2 | 3 | 4 | 5 | 6 | 7 | 8 |
| 9 | 10 | 11 | 12 | 13 | 14 | 15 |
| 16 | 17 | 18 | 19 | 20 | 21 | 22 |
| 23 | 24 | 25 | 26 | 27 | 28 | 29 |
| 30 |
Tags
- 행렬
- 심화미적
- 기하와 벡터
- 수열의 극한
- 이차곡선
- 행렬과 그래프
- 수학질문답변
- 함수의 연속
- 함수의 극한
- 정적분
- 수학2
- 수학1
- 수악중독
- 함수의 그래프와 미분
- 도형과 무한등비급수
- 경우의 수
- 여러 가지 수열
- 확률
- 수능저격
- 미적분과 통계기본
- 로그함수의 그래프
- 수열
- 미분
- 접선의 방정식
- 수학질문
- 수만휘 교과서
- 적분
- 중복조합
- 적분과 통계
- 이정근
Archives
- Today
- Total
수악중독
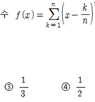
수학1_수열의 극한_극한 진위_극한의 성질_난이도 중 본문
무한수열 \(\{a_n\},\;\{ b_n\}\) 에 대하여 <보기> 에서 옳은 것을 모두 고른 것은? (단, \(\alpha\) 는 상수)
① ㄱ ② ㄷ ③ ㄱ, ㄴ ④ ㄴ, ㄷ ⑤ ㄱ, ㄴ, ㄷ
ㄱ. \(\lim \limits _{n \to \infty} a_n = \alpha ,\;\; \lim \limits _{n \to \infty} b_n =0 \) 이면 \(\lim \limits _{n \to \infty} a_n b_n =0\) 이다.
ㄴ. \(\lim \limits _{n \to \infty} a_n = \alpha ,\;\; \lim \limits _{n \to \infty} (a_n - b_n )=0 \) 이면 \(\lim \limits _{n \to \infty} b_n =\alpha \) 이다.
ㄷ. \(\lim \limits _{n \to \infty} a_n = \infty ,\;\; \lim \limits _{n \to \infty} (a_n -b_n) =0 \) 이면 \(\lim \limits _{n \to \infty} {\dfrac {b_n}{a_n}} =1\) 이다.
① ㄱ ② ㄷ ③ ㄱ, ㄴ ④ ㄴ, ㄷ ⑤ ㄱ, ㄴ, ㄷ
Comments