관리 메뉴


수악중독

중학교과정 복습_난이도 상 (2026년 3월 고1 20번) 본문

카테고리 없음

중학교과정 복습_난이도 상 (2026년 3월 고1 20번)

수악중독 2026. 4. 1. 01:19

 

 

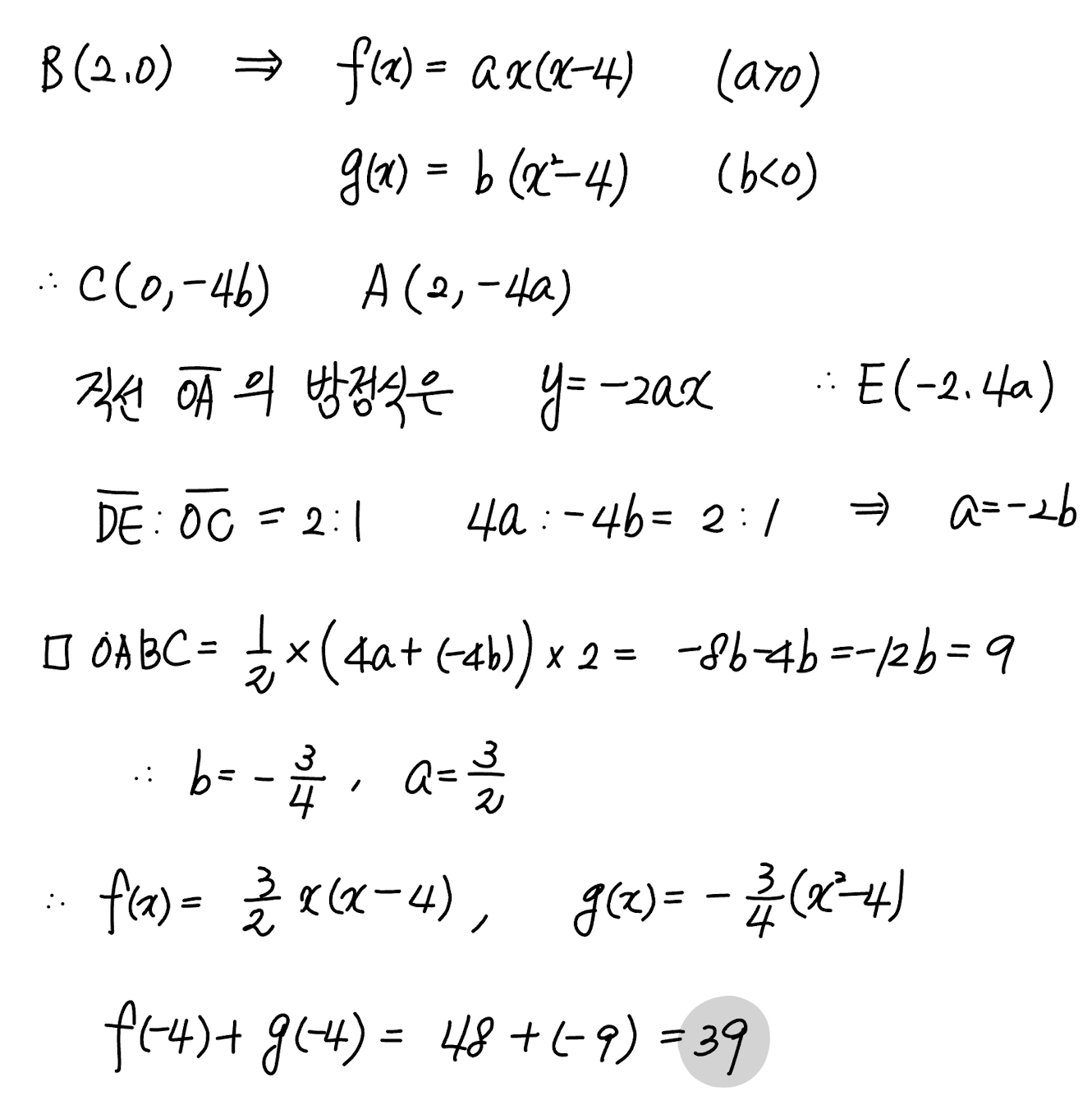
그림과 같이 제$4$사분면에 있는 점 $\mathrm{A}$를 꼭짓점으로 하고 원점 $\mathrm{O}$를 지나는 이차함수 $y=f(x)$의 그래프가 있다. 점 $\mathrm{A}$에서 $x$축에 내린 수선의 발을 $\mathrm{B}$라 하자. 최고차항의 계수가 음수인 이차함수 $y=g(x)$의 그래프는 꼭짓점 $\mathrm{C}$가 $y$축 위에 있고 점 $\mathrm{B}$를 지난다. 이차함수 $y=g(x)$의 그래프가 $x$축과 만나는 점 중 $\mathrm{B}$가 아닌 점을 $\mathrm{D}$라 할 때, 점 $\mathrm{D}$의 $x$좌표는 $-2$이다. 두 직선 $\mathrm{BC, \;OA}$는 점 $\mathrm{E}$에서 만나고, 점 $\mathrm{E}$에서 $x$축에 내린 수선의 발은 $\mathrm{D}$이다. 사각형 $\mathrm{OABC}$의 넓이가 $9$일 때, $f(-4)+g(-4)$의 값은? 

 


① $33$          ② $35$          ③ $37$          ④ $39$          ⑤ $41$

 

더보기

정답 ④

Comments