관리 메뉴


수악중독

사인법칙&코사인법칙_난이도 중 (2025년 11월 수능 14번) 본문

수학1- 문제풀이/삼각함수

사인법칙&코사인법칙_난이도 중 (2025년 11월 수능 14번)

수악중독 2025. 11. 16. 00:54

 

 

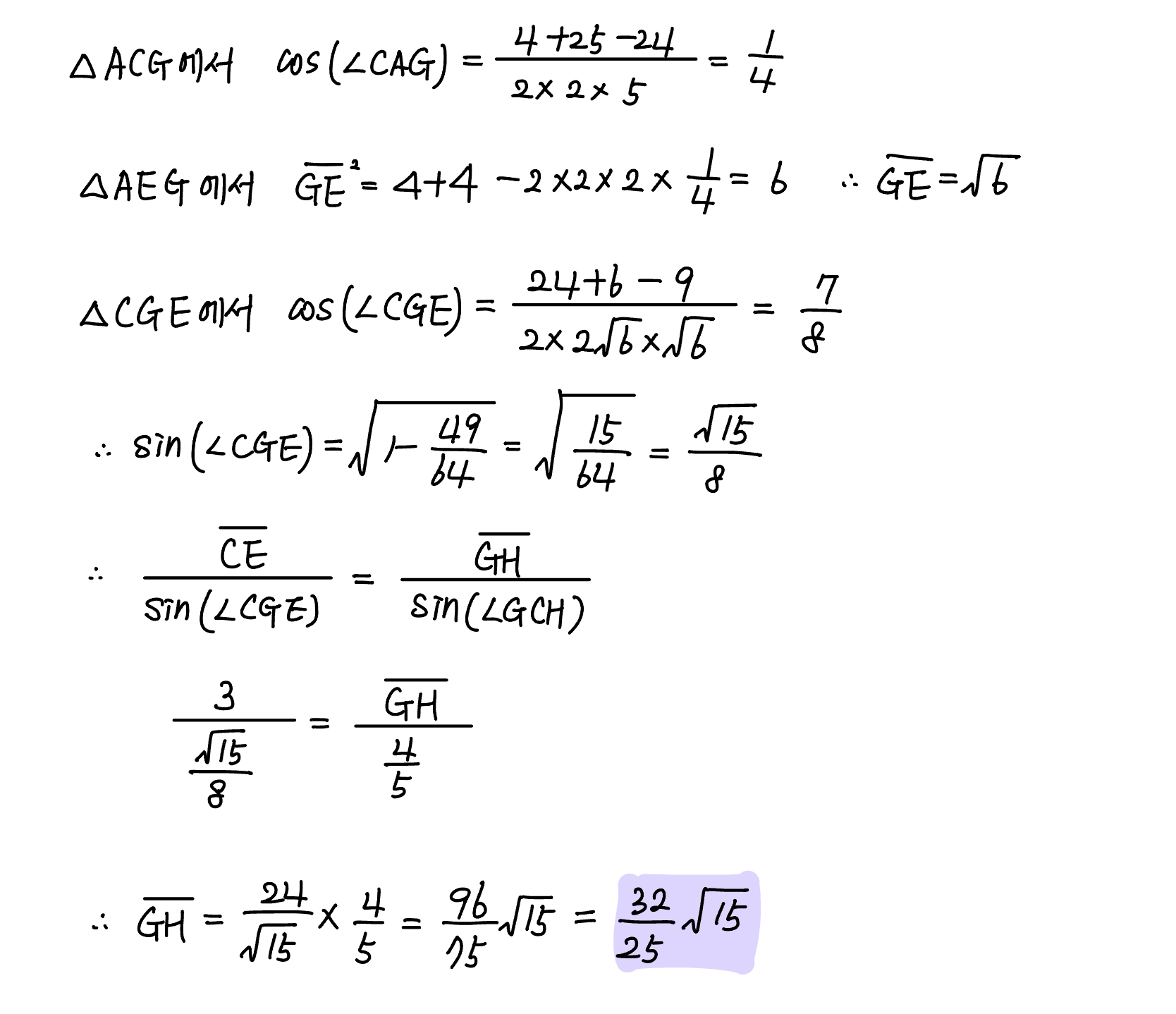
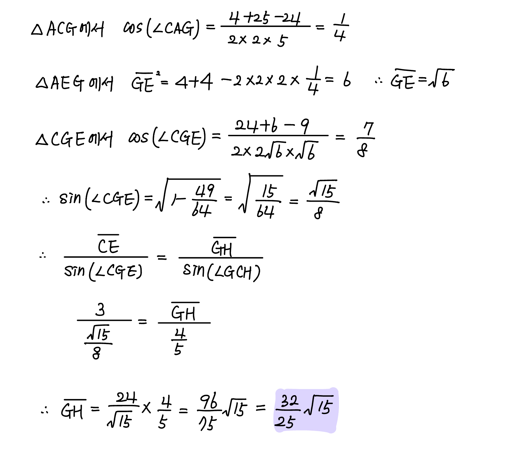
그림과 같이 $\overline{\mathrm{AB}}=3$, $\overline{\mathrm{BC}}=4$이고 $\angle \mathrm{B} = \dfrac{\pi}{2}$인 직각삼각형 $\mathrm{ABC}$가 있다. 선분 $\mathrm{AB}$를 $2:1$로 내분하는 점을 $\mathrm{D}$, 점 $\mathrm{A}$를 중심으로 하고 반지름의 길이가 $\overline{\mathrm{AD}}$인 원이 선분 $\mathrm{AC}$와 만나는 점을 $\mathrm{E}$, 직선 $\mathrm{AB}$가 이 원과 만나는 점 중 $\mathrm{D}$가 아닌 점을 $\mathrm{F}$라 하고, 호 $\mathrm{EF}$ 위의 점 $\mathrm{G}$를 $\overline{\mathrm{CG}} = 2\sqrt{6}$이 되도록 잡는다. 세 점 $\mathrm{C,\; E, \; G}$를 지나는 원 위의 점 $\mathrm{H}$가 $\angle \mathrm{HCG}=\angle \mathrm{BAC}$를만족시킬 때, 선분 $\overline{\mathrm{GH}}$의 길이는?

 


① $\dfrac{6\sqrt{15}}{8}$          ② $\dfrac{38\sqrt{10}}{25}$          ③ $\dfrac{14\sqrt{3}}{5}$          ④ $\dfrac{32\sqrt{15}}{25}$          ⑤ $\dfrac{8\sqrt{10}}{5}$

 

더보기

정답 ④

Comments