| 일 | 월 | 화 | 수 | 목 | 금 | 토 |
|---|---|---|---|---|---|---|
| 1 | 2 | 3 | ||||
| 4 | 5 | 6 | 7 | 8 | 9 | 10 |
| 11 | 12 | 13 | 14 | 15 | 16 | 17 |
| 18 | 19 | 20 | 21 | 22 | 23 | 24 |
| 25 | 26 | 27 | 28 | 29 | 30 | 31 |
- 수악중독
- 행렬
- 적분
- 확률
- 수학1
- 미적분과 통계기본
- 도형과 무한등비급수
- 중복조합
- 행렬과 그래프
- 수학질문
- 미분
- 심화미적
- 여러 가지 수열
- 접선의 방정식
- 수열의 극한
- 경우의 수
- 기하와 벡터
- 수학질문답변
- 로그함수의 그래프
- 적분과 통계
- 수만휘 교과서
- 함수의 그래프와 미분
- 함수의 연속
- 함수의 극한
- 이차곡선
- 이정근
- 수열
- 수학2
- 정적분
- 수능저격
- Today
- Total
수악중독
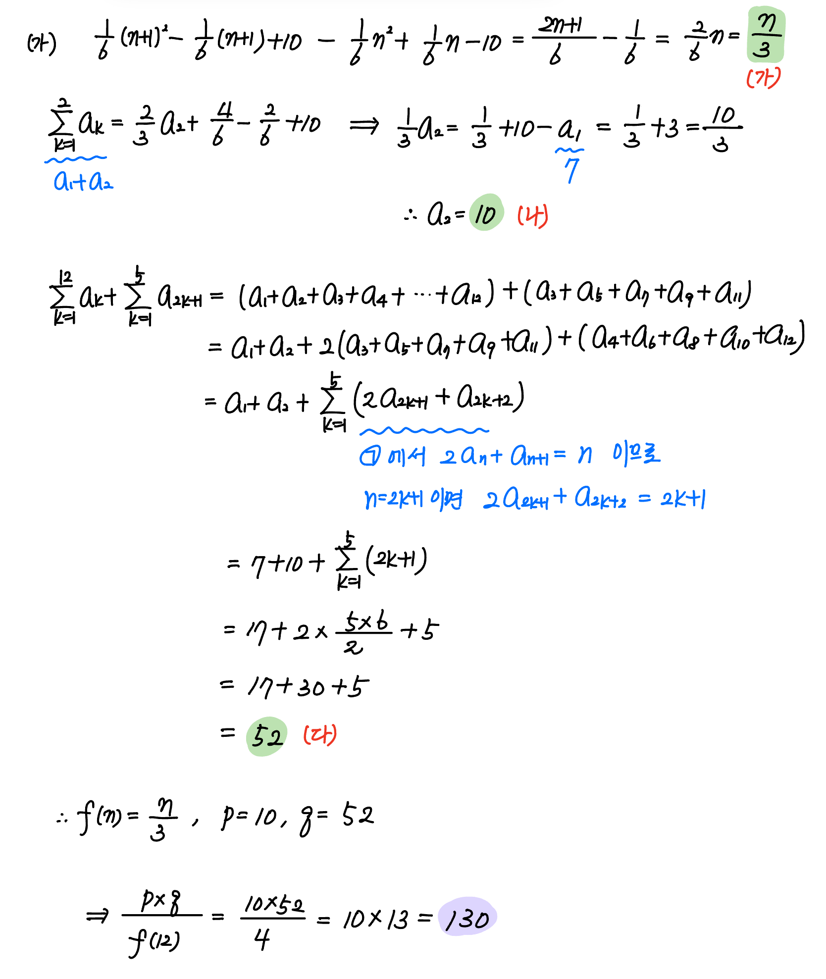
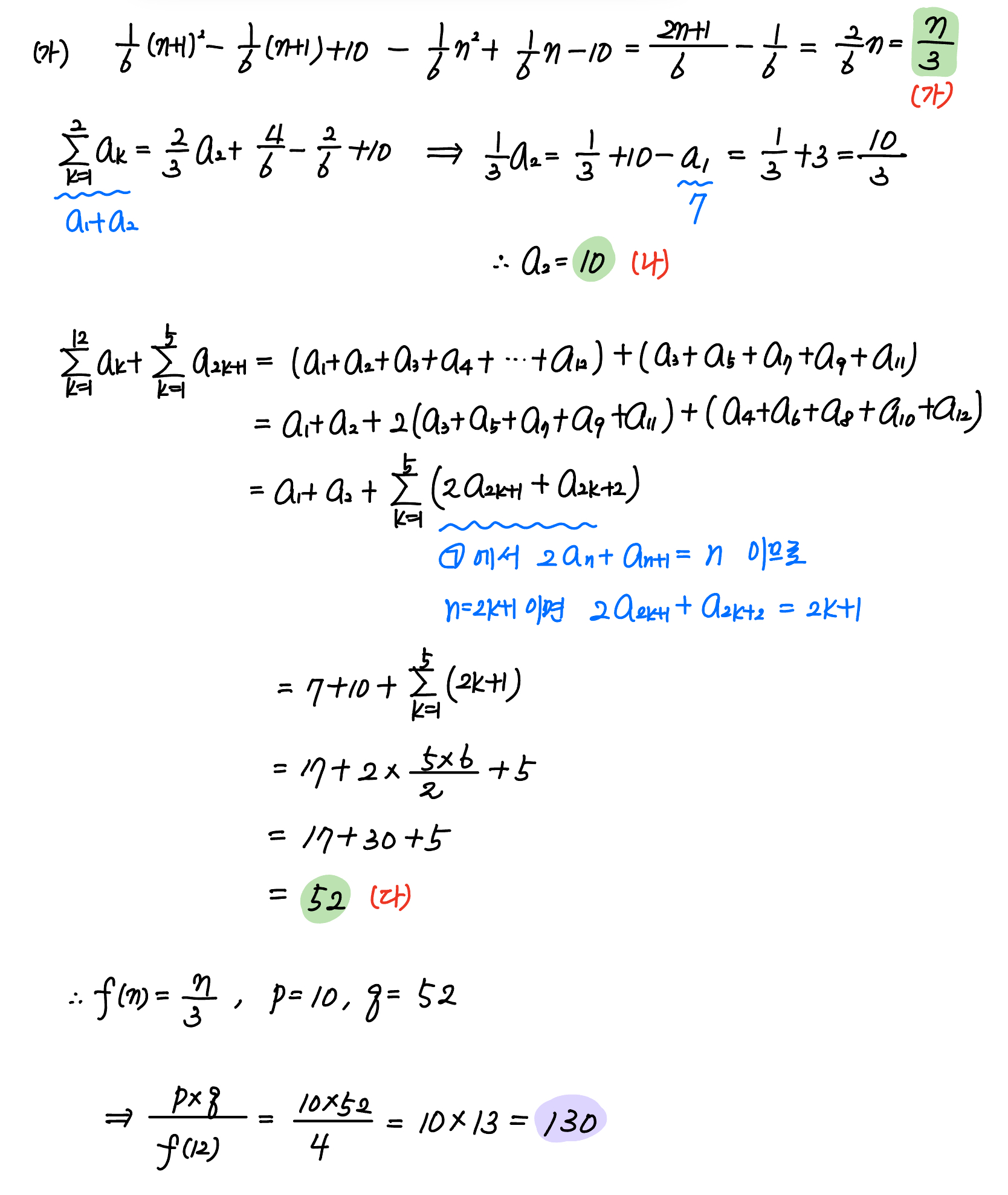
여러 가지 수열의 합_난이도 중 (2025년 11월 수능 20번) 본문
수열 $\{a_n\}$ 이 다음 조건을 만족시킨다.
- $a_1 = 7$
- $2$ 이상의 자연수 $n$ 에 대하여 $$\displaystyle \sum_{k=1}^n a_k = \frac{2}{3} a_n + \frac{1}{6} n^2 - \frac{1}{6} n + 10$$이다.
다음은 $\displaystyle \sum_{k=1}^{12} a_k + \sum_{k=1}^5 a_{2k+1}$ 의 값을 구하는 과정이다.
$2$ 이상의 자연수 $n$ 에 대하여 $\displaystyle a_{n+1} = \sum_{k=1}^{n+1} a_k - \sum_{k=1}^n a_k$ 이므로$$a_{n+1} = \frac{2}{3} (a_{n+1} - a_n) + \boxed{\text{ (가) }}$$이고, 이 식을 정리하면$$2a_n + a_{n+1} = 3 \times \boxed{\text{ (가) }} \quad \quad \cdots \cdots ㉠$$이다.$$\displaystyle \sum_{k=1}^n a_k = \frac{2}{3} a_n + \frac{1}{6} n^2 - \frac{1}{6} n + 10 \quad (n \ge 2)$$에서 양변에 $n = 2$ 를 대입하면$$a_2 = \boxed{\text{ (나) }} \quad \quad \cdots \cdots ㉡$$이다. ㉠과 ㉡에 의하여 $$\begin{aligned}\displaystyle \sum_{k=1}^{12} a_k + \sum_{k=1}^5 a_{2k+1} &= a_1 + a_2 + \sum_{k=1}^5 (2a_{2k+1} + a_{2k+2}) \\[8pt] &=\boxed{\text{ (다) }}\end{aligned}$$ 이다.
위의 (가)에 알맞은 식을 $f(n)$이라 하고, (나), (다)에 알맞은 수를 각각 $p, \;q$라 할 때, $\dfrac{p \times q}{f(12)}$ 의 값을 구하시오.
정답 $130$
