| 일 | 월 | 화 | 수 | 목 | 금 | 토 |
|---|---|---|---|---|---|---|
| 1 | 2 | 3 | ||||
| 4 | 5 | 6 | 7 | 8 | 9 | 10 |
| 11 | 12 | 13 | 14 | 15 | 16 | 17 |
| 18 | 19 | 20 | 21 | 22 | 23 | 24 |
| 25 | 26 | 27 | 28 | 29 | 30 | 31 |
Tags
- 수열의 극한
- 함수의 극한
- 도형과 무한등비급수
- 수열
- 접선의 방정식
- 이차곡선
- 수학질문답변
- 적분과 통계
- 중복조합
- 수학1
- 확률
- 정적분
- 로그함수의 그래프
- 경우의 수
- 행렬
- 이정근
- 수악중독
- 심화미적
- 수만휘 교과서
- 수능저격
- 수학질문
- 기하와 벡터
- 미분
- 여러 가지 수열
- 함수의 그래프와 미분
- 수학2
- 적분
- 함수의 연속
- 미적분과 통계기본
- 행렬과 그래프
Archives
- Today
- Total
수악중독
0/0꼴의 극한&좌극한과 우극한&삼차함수 그래프 개형_난이도 상 (2025년 11월 수능 21번) 본문
수학2 - 문제풀이/함수의 극한과 연속
0/0꼴의 극한&좌극한과 우극한&삼차함수 그래프 개형_난이도 상 (2025년 11월 수능 21번)
수악중독 2025. 11. 15. 00:15
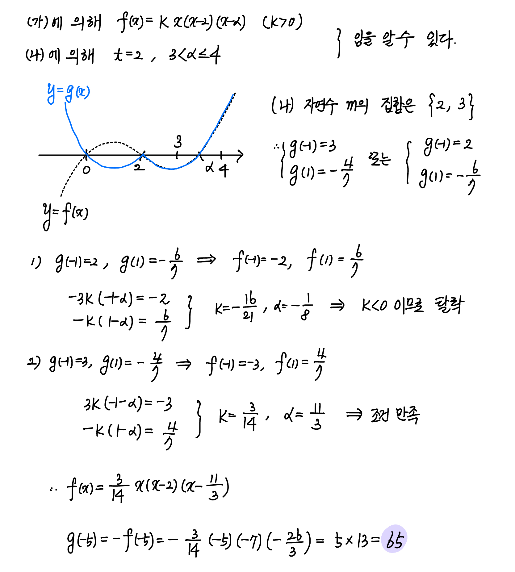
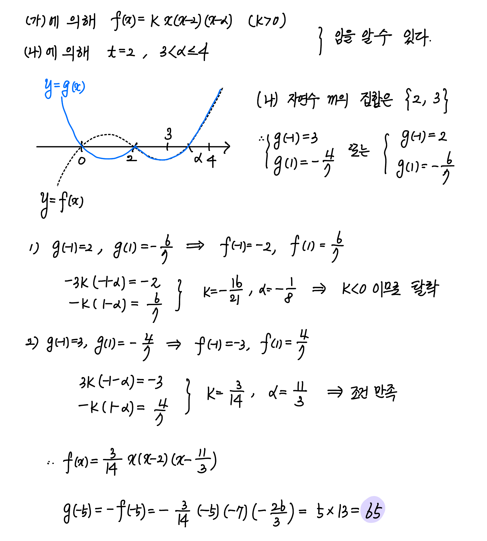
최고차항의 계수가 양수인 삼차함수 $f(x)$와 실수 $t$에 대하여 함수 $$g(x)=\begin{cases} -f(x) & (x<t) \\ f(x) & (x \ge t) \end{cases}$$는 실수 전체의 집합에서 연속이고 다음 조건을 만족시킨다.
(가) 모든 실수 $a$에 대하여 $\lim \limits_{x \to a} \dfac{g(x)}{x(x-2)}$의 값이 존재한다.
(나) $\lim \limits_{x \to m+} \dfrac{g(x)}{x(x-2)}$의 값이 음수가 되도록 하는 자연수 $m$의 집합은 $\left \{g(-1), \; -\dfrac{7}{2}g(1) \right \}$이다.
$g(-5)$의 값을 구하시오., (단, $g(-1) \ne -\dfrac{7}{2}g(1)$)
더보기

정답 $65$

Comments