| 일 | 월 | 화 | 수 | 목 | 금 | 토 |
|---|---|---|---|---|---|---|
| 1 | 2 | 3 | 4 | 5 | 6 | 7 |
| 8 | 9 | 10 | 11 | 12 | 13 | 14 |
| 15 | 16 | 17 | 18 | 19 | 20 | 21 |
| 22 | 23 | 24 | 25 | 26 | 27 | 28 |
| 29 | 30 | 31 |
Tags
- 로그함수의 그래프
- 수악중독
- 여러 가지 수열
- 수열의 극한
- 심화미적
- 적분과 통계
- 적분
- 수능저격
- 수학2
- 기하와 벡터
- 정적분
- 함수의 그래프와 미분
- 수열
- 수학질문답변
- 이정근
- 함수의 연속
- 행렬
- 확률
- 미적분과 통계기본
- 수학질문
- 경우의 수
- 수학1
- 접선의 방정식
- 도형과 무한등비급수
- 중복조합
- 수만휘 교과서
- 행렬과 그래프
- 이차곡선
- 함수의 극한
- 미분
Archives
- Today
- Total
수악중독
행렬의 곱셈_난이도 중하 (2025년 10월 고1 15번) 본문
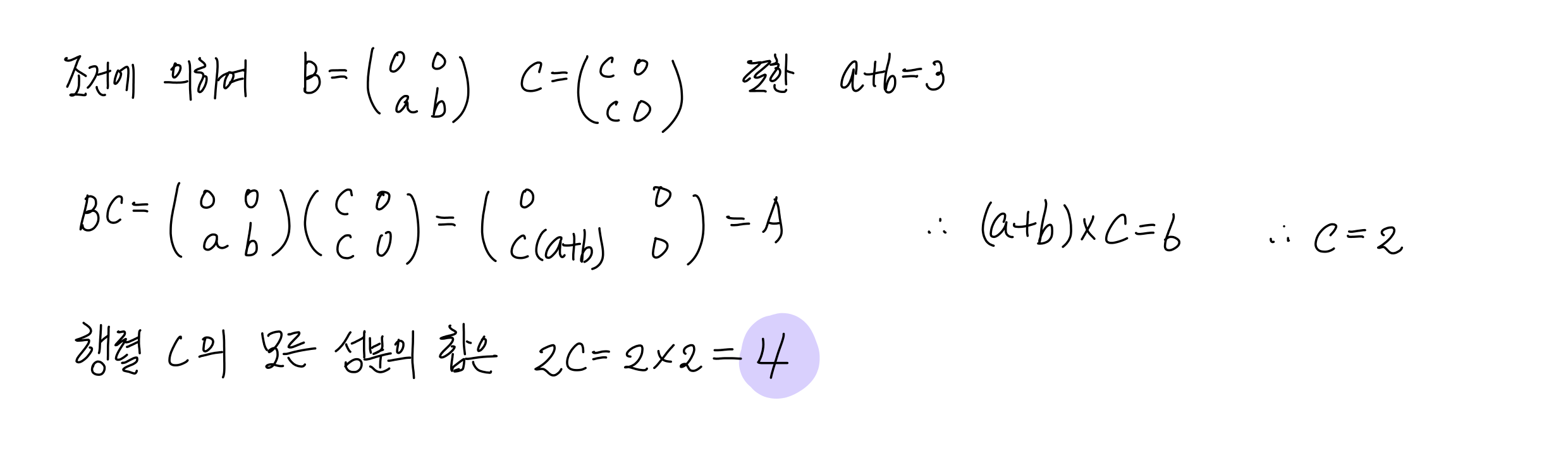
세 이차정사각행렬 $A=\begin{pmatrix}0 & 0 \\6 & 0\end{pmatrix}$, $B$, $C$가 다음 조건을 만족시킨다.
(가) $AB = CA = O$
(나) 행렬 $B$의 모든 성분의 합이 $3$이고, 행렬 $C$의 $(1,\;1)$ 성분과 $(2,\;1)$ 성분이 같다.
$BC = A$일 때, 행렬 $C$의 모든 성분의 합은? (단, $O$는 영행렬이다.)
① $3$ ② $4$ ③ $5$ ④ $6$ ⑤ $7$
더보기

정답 ②

Comments