| 일 | 월 | 화 | 수 | 목 | 금 | 토 |
|---|---|---|---|---|---|---|
| 1 | 2 | 3 | 4 | |||
| 5 | 6 | 7 | 8 | 9 | 10 | 11 |
| 12 | 13 | 14 | 15 | 16 | 17 | 18 |
| 19 | 20 | 21 | 22 | 23 | 24 | 25 |
| 26 | 27 | 28 | 29 | 30 |
Tags
- 미적분과 통계기본
- 심화미적
- 수학질문답변
- 수만휘 교과서
- 확률
- 행렬과 그래프
- 여러 가지 수열
- 수열의 극한
- 도형과 무한등비급수
- 정적분
- 이차곡선
- 수악중독
- 이정근
- 중복조합
- 적분과 통계
- 함수의 연속
- 행렬
- 경우의 수
- 수열
- 수학1
- 수학질문
- 함수의 극한
- 로그함수의 그래프
- 기하와 벡터
- 미분
- 수학2
- 적분
- 수능저격
- 함수의 그래프와 미분
- 접선의 방정식
Archives
- Today
- Total
수악중독
거듭제곱근의 정의_난이도 중 (2025년 10월 고2 15번) 본문
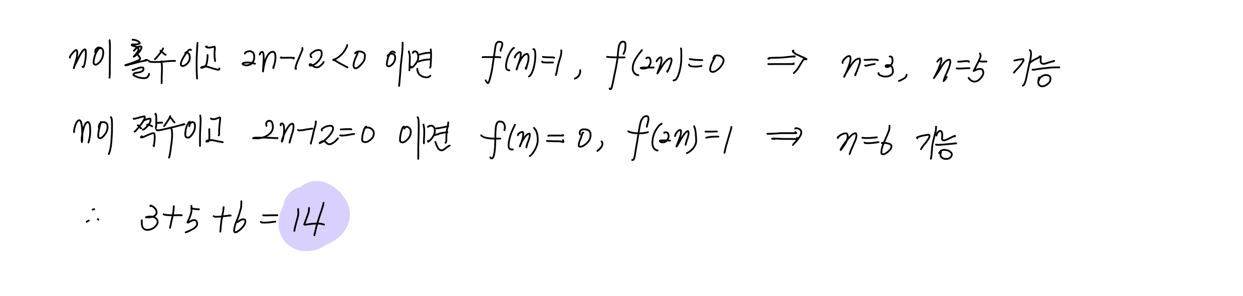
$2$ 이상의 자연수 $n$에 대하여 $n-12$의 $n$제곱근 중 실수인 것의 개수를 $f(n)$이라 하자. $f(n) + f(2n) = 1$을 만족시키는 모든 $n$의 값의 합은?
① $10$ ② $12$ ③ $14$ ④ $16$ ⑤ $18$
더보기

정답 ③

Comments