| 일 | 월 | 화 | 수 | 목 | 금 | 토 |
|---|---|---|---|---|---|---|
| 1 | 2 | 3 | 4 | 5 | 6 | 7 |
| 8 | 9 | 10 | 11 | 12 | 13 | 14 |
| 15 | 16 | 17 | 18 | 19 | 20 | 21 |
| 22 | 23 | 24 | 25 | 26 | 27 | 28 |
| 29 | 30 | 31 |
Tags
- 여러 가지 수열
- 심화미적
- 함수의 극한
- 수악중독
- 수학2
- 중복조합
- 적분과 통계
- 로그함수의 그래프
- 미분
- 이정근
- 도형과 무한등비급수
- 행렬
- 행렬과 그래프
- 확률
- 수학질문답변
- 수열
- 경우의 수
- 함수의 그래프와 미분
- 이차곡선
- 정적분
- 기하와 벡터
- 함수의 연속
- 수열의 극한
- 수만휘 교과서
- 수학질문
- 적분
- 수학1
- 미적분과 통계기본
- 수능저격
- 접선의 방정식
Archives
- Today
- Total
수악중독
넓이와 정적분 & 접선의 방정식과 미분_난이도 중 (2025년 7월 고3 21번) 본문
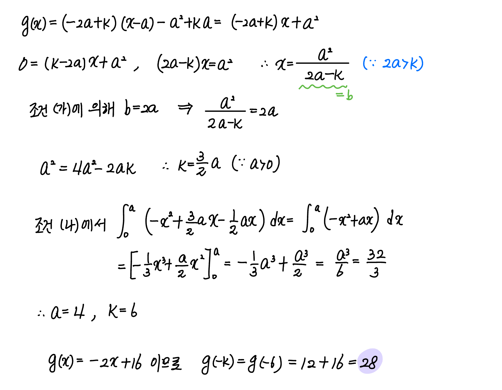
함수 $f(x)=-x^2+kx$ ($k>0$)의 그래프 위에 있는 제1사분면 위의 점 $\mathrm{A}(a, \;f(a))$ $\left (a>\dfrac{k}{2} \right )$에서의 접선의 방정식을 $y=g(x)$라 하고, 직선 $y=g(x)$의 $x$절편을 $b$라 하자. 점 $\mathrm{A}$에서 $x$축에 내린 수선의 발을 $\mathrm{H}$라 하고, 삼각형 $\mathrm{AOH}$의 넓이를 $S$라 할 때, 두 함수 $f(x), g(x)$가 다음 조건을 만족시킨다.
(가) $\displaystyle \int_a^b g(x)dx = S$
(나) $\displaystyle \int_0^a \left \{f(x)-\dfrac{1}{2}ax \right \}dx = \dfrac{32}{3}$
$g(-k)$의 값을 구하시오. (단, $\mathrm{O}$는 원점이고, $k$는 상수이다.)
더보기

정답 $28$

Comments