| 일 | 월 | 화 | 수 | 목 | 금 | 토 |
|---|---|---|---|---|---|---|
| 1 | 2 | 3 | 4 | 5 | 6 | 7 |
| 8 | 9 | 10 | 11 | 12 | 13 | 14 |
| 15 | 16 | 17 | 18 | 19 | 20 | 21 |
| 22 | 23 | 24 | 25 | 26 | 27 | 28 |
| 29 | 30 | 31 |
Tags
- 함수의 극한
- 행렬과 그래프
- 수학2
- 로그함수의 그래프
- 미적분과 통계기본
- 중복조합
- 이차곡선
- 수학질문답변
- 수악중독
- 심화미적
- 수만휘 교과서
- 수학1
- 함수의 그래프와 미분
- 행렬
- 적분과 통계
- 기하와 벡터
- 함수의 연속
- 도형과 무한등비급수
- 적분
- 수능저격
- 수열의 극한
- 확률
- 미분
- 여러 가지 수열
- 경우의 수
- 수학질문
- 수열
- 이정근
- 접선의 방정식
- 정적분
Archives
- Today
- Total
수악중독
음수의 제곱근의 성질_난이도 하 (2025년 6월 고1 25번) 본문
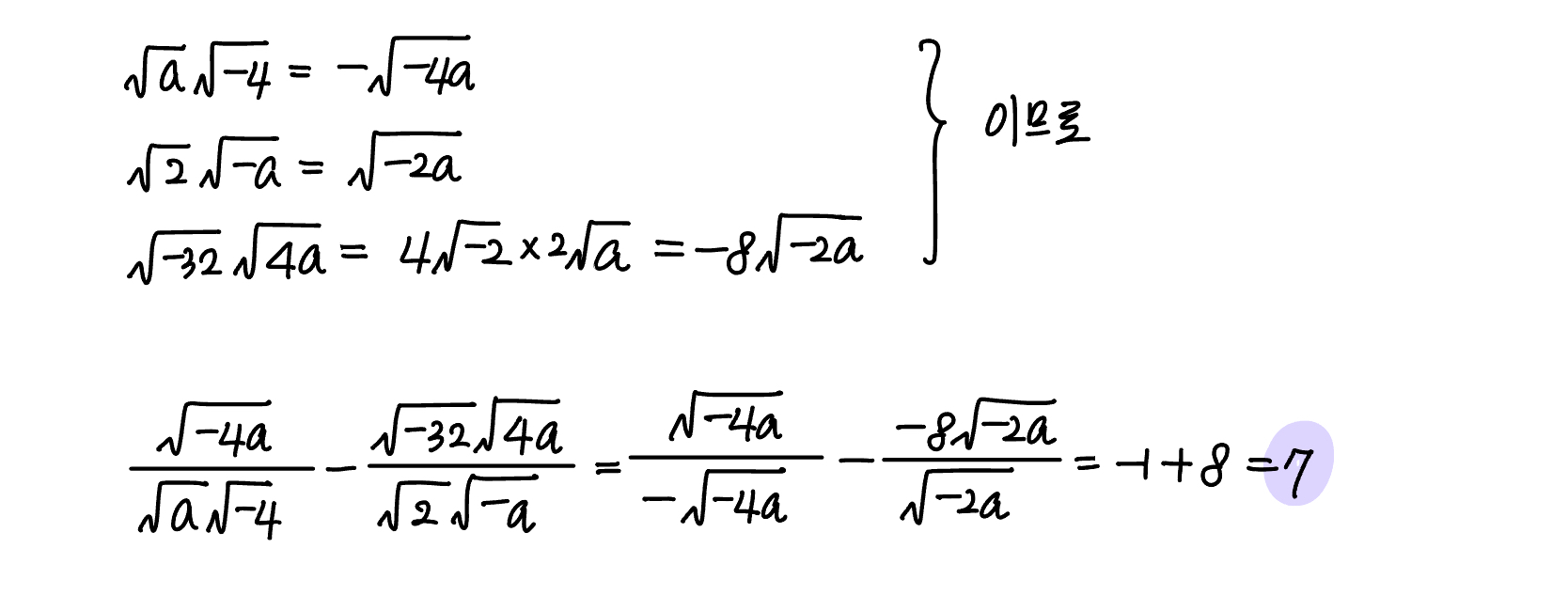
$a$가 음수일 때, $\dfrac{\sqrt{-4a}}{\sqrt{a}\sqrt{-4}} - \dfrac{\sqrt{-32}\sqrt{4a}}{\sqrt{2}\sqrt{-a}}$의 값을 구하시오.
더보기

정답 $7$

Comments