| 일 | 월 | 화 | 수 | 목 | 금 | 토 |
|---|---|---|---|---|---|---|
| 1 | 2 | 3 | 4 | 5 | 6 | 7 |
| 8 | 9 | 10 | 11 | 12 | 13 | 14 |
| 15 | 16 | 17 | 18 | 19 | 20 | 21 |
| 22 | 23 | 24 | 25 | 26 | 27 | 28 |
| 29 | 30 | 31 |
Tags
- 중복조합
- 여러 가지 수열
- 수열의 극한
- 수열
- 로그함수의 그래프
- 적분
- 수악중독
- 미적분과 통계기본
- 심화미적
- 이차곡선
- 경우의 수
- 함수의 연속
- 행렬
- 행렬과 그래프
- 수학1
- 수만휘 교과서
- 함수의 극한
- 이정근
- 수학2
- 기하와 벡터
- 접선의 방정식
- 수능저격
- 수학질문
- 정적분
- 도형과 무한등비급수
- 수학질문답변
- 함수의 그래프와 미분
- 미분
- 적분과 통계
- 확률
Archives
- Today
- Total
수악중독
원순열_난이도 하 (2025년 6월 고3 확통 27번) 본문
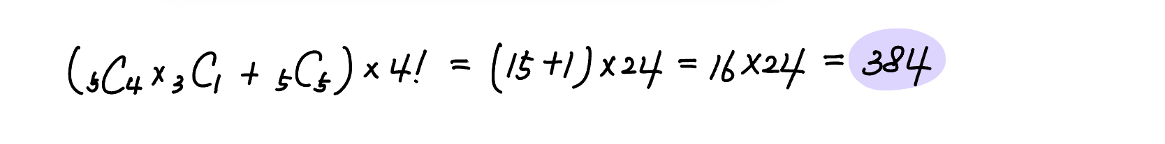
$5$명이 둘러앉을 수 있는 원 모양의 탁자와 남학생 $5$명, 여학생 $3$명이 있다. 이 $8$명의 학생 중에서 $4$명 이상의 남학생을 포함하여 $5$명의 학생을 선택하고 이 $5$명의 학생 모두를 일정한 간격으로 탁자에 둘러낮게 하는 경우의 수는? (단, 회전하여 일치하는 것은 같은 것으로 본다.)
① $384$ ② $408$ ③ $432$ ④ $456$ ⑤ $480$

더보기

정답 ①

Comments