| 일 | 월 | 화 | 수 | 목 | 금 | 토 |
|---|---|---|---|---|---|---|
| 1 | 2 | 3 | 4 | 5 | 6 | 7 |
| 8 | 9 | 10 | 11 | 12 | 13 | 14 |
| 15 | 16 | 17 | 18 | 19 | 20 | 21 |
| 22 | 23 | 24 | 25 | 26 | 27 | 28 |
| 29 | 30 | 31 |
Tags
- 함수의 연속
- 적분
- 행렬
- 심화미적
- 기하와 벡터
- 이정근
- 행렬과 그래프
- 적분과 통계
- 도형과 무한등비급수
- 수능저격
- 수학2
- 로그함수의 그래프
- 수학질문
- 이차곡선
- 수학1
- 수만휘 교과서
- 함수의 극한
- 함수의 그래프와 미분
- 수악중독
- 미분
- 여러 가지 수열
- 경우의 수
- 확률
- 수학질문답변
- 접선의 방정식
- 수열의 극한
- 정적분
- 수열
- 미적분과 통계기본
- 중복조합
Archives
- Today
- Total
수악중독
음함수의 미분&접선의 방정식_난이도 중 (2025년 6월 고3 미적분 24번) 본문
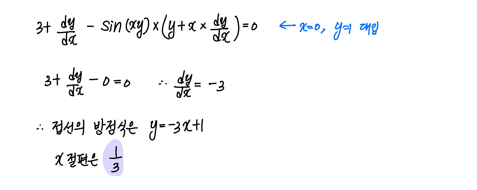
곡선 $3x + y + \cos(xy) = 2$ 위의 점 $(0, \;1)$에서의 접선의 $x$절편은?
① $\dfrac{1}{6}$ ② $\dfrac{1}{3}$ ③ $\dfrac{1}{2}$ ④ $\dfrac{2}{3}$ ⑤ $\dfrac{5}{6}$
더보기

정답 ②

Comments