관리 메뉴


수악중독

삼각함수의 미분&합성함수의 미분_난이도 중 (2025년 6월 고3 미적분 27번) 본문

미적분 - 문제풀이/미분법

삼각함수의 미분&합성함수의 미분_난이도 중 (2025년 6월 고3 미적분 27번)

수악중독 2025. 6. 4. 21:13

 

 

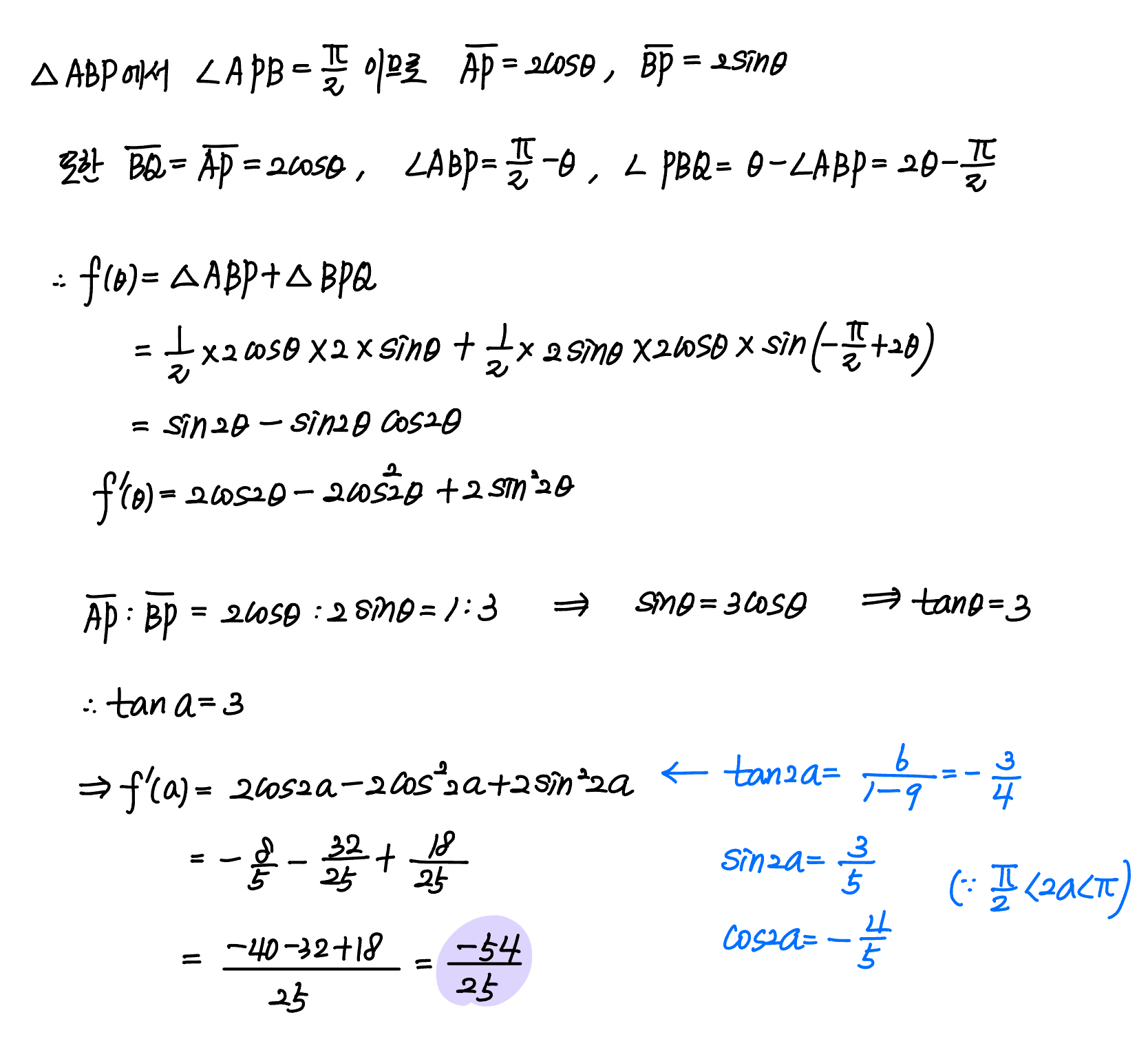
그림과 같이 길이가 $2$인 선분 $\mathrm{AB}$를 지름으로 하는 반원의 호 $\mathrm{AB}$ 위의 점 $\mathrm{P}$에 대하여 $\angle \mathrm{BAP} = \theta$ $\left (\dfrac{\pi}{4} < \theta < \dfrac{\pi}{2} \right )$라 하고, 점 $\mathrm{P}$를 지나고 선분 $\mathrm{AB}$에 평행한 직선이 호 $\mathrm{AB}$와 만나는 점 중 $\mathrm{P}$가 아닌 점을 $\mathrm{Q}$라 하자. 사각형 $\mathrm{ABQP}$의 넓이를 $f(\theta)$라 하고, $\overline{\mathrm{AP}} : \overline{\mathrm{BP}} = 1 : 3$이 되도록 하는 $\theta$의 값을 $a$라 할 때, $f'(a)$의 값은? 

 

 

① $-\dfrac{64}{25}$           ② $-\dfrac{59}{25}$           ③ $-\dfrac{54}{25}$           ④ $-\dfrac{49}{25}$          ⑤ $-\dfrac{44}{25}$

 

더보기

정답

Comments